Съдържание на „Капиталът. Втори том.“
КАРЛ МАРКС
Капиталът. Книга II.
Процесът на обръщението на капитала
1885
Издаден под редакцията на Фридрих Енгелс
ОТДЕЛ ПЪРВИ
Метаморфозите на капитала
и техният кръгооборотГлава втора
Кръгооборотът на производителния капиталОбщата формула на кръгооборота на производителния капитал е такава: Пр...С'-П'-С...Пр. Този кръгооборот означава периодично възобновяване на функционирането на производителния капитал, следователно производство, или процес на производството на капитала като процес на възпроизводство с оглед на нарастването на стойността; не само производство, а периодично възпроизводство на принадена стойност: функциониране на промишления капитал, който се намира в своята производителна форма, не като еднократно, а като периодично повтарящо се функциониране, така че възобновяването е дадено от самия изходен пункт. Част от С може (в известни случаи, в известни области на приложение на промишления капитал) непосредствено отново да влезе като средство за производство в същия процес на труда, от който тя е излязла като стока; с това се спестява само превръщането на нейната стойност в действителни пари или в парични знаци, или пък тя получава самостоятелен израз само като сметни пари. Тази част от стойността не влиза в обръщението. По този начин в процеса на производството влизат стойности, които не влизат в процеса на обръщението. Същото се отнася и до онази част на С, която капиталистът потребява in natura*1 като част от принадения продукт. Обаче това е без значение за капиталистическото производство; тя може най-многото да се взема под внимание в земеделието.
В тази форма веднага се хвърлят в очи две неща.
Първо. Докато в първата форма П...П' процесът на производството, функцията на Пр, прекъсва обръщението на паричния капитал и се явява само като посредник между двете негови фази П-С и С'-П', тук целият процес на обръщението на промишления капитал, цялото негово движение в пределите на фазата на обръщението, образува само прекъсване и следователно само посредстващо звено между производителния капитал, който като пръв краен член открива кръгооборота и го затваря като последен член в същата форма, т. е. във формата, в която той го започва отново. Същинското обръщение се явява само опосредстване на периодично възобновяваното и - чрез възобновяването - непрекъснато възпроизводство.
Второ. Цялото обръщение се представя във форма, противоположна на онази, която то притежава в кръгооборота на паричния капитал. Там формата, ако оставим настрана величината на стойността, беше: П-С-П (П-С. С-П); тук, ако пак оставим настрана величината на стойността, тя е: С-П-С (С-П. П-С), т. е. формата на просто стоково обръщение.
I. ПРОСТО ВЪЗПРОИЗВОДСТВО
Да разгледаме преди всичко процеса С—П—С, който протича в сферата на обръщението между двата крайни члена Пр...Пр.
Изходен пункт на това обръщение е стоковият капитал: С=С+с=Пр+с. Функцията на стоковия капитал С—П' (реализация на съдържащата се в него капиталова стойност= Пр, съществуваща сега като съставна част С на стоката С', а също реализация на съдържащата се в него принадена стойност, която съществува сега като съставна част на същата стокова маса, притежаваща стойност с) беше разгледана в първата форма на кръгооборота. Но там тя съставляваше втората фаза на прекъснатото обръщение и заключителната фаза на целия кръгооборот. Тук тя съставлява втората фаза на кръгооборота, но първата фаза на обръщението. Първият кръгооборот завършва с П', и тъй като П', подобно на първоначалното П, може отново да започне като паричен капитал втори кръгооборот, отначало не беше необходимо да се разглежда ще продължат ли П и п (принадената стойност), които се съдържат в П', по общ път и по-нататък или пък ще си намерят различни пътища. Там би било необходимо да се разгледа това само в случай, че бихме проследили първия кръгооборот по-нататък, в неговото възобновяване. Тук, където става дума за кръгооборота на производителния капитал, този въпрос трябва да получи решение, тъй като отговорът определя вече неговия пръв кръгооборот и тъй като С'-П' се явява в него като първа фаза на обръщението, която трябва да бъде допълнена посредством П—С. От това решение зависи представлява ли формулата просто възпроизводство или пък възпроизводство в разширен мащаб. По този начин характерът на кръгооборота се изменя съобразно с решението.
И така, да вземем преди всичко простото възпроизводство на производителния капитал, при което, както и в първата глава, ще приемем, че обстоятелствата остават неизменни и купуването и продаването на стоките се извършва по тяхната стойност. При такава предпоставка цялата принадена стойност влиза в личното потребление на капиталиста. След като се е извършило превръщането на стоковия капитал С' в пари, част от паричната сума, представляваща капиталовата стойност, продължава да циркулира в кръгооборота на промишления капитал; другата част, превърнатата в пари принадена стойност, влиза в общото стоково обръщение, представлява изхождащо от капиталиста парично обръщение, обаче се извършва извън обръщението на неговия индивидуален капитал.
В нашия пример имахме стоков капитал С' от 10 000 фунта прежда на стойност 500 ф. ст.; от тях 422 ф. ст. са стойността на производителния капитал; като парична форма на 8440 фунта прежда те продължават обръщението на капитала, започнато от С', докато принадената стойност от 78 ф. ст., парична форма на 1560 фунта прежда, добавъчната част на стоковия продукт, излиза от това обръщение и преминава отделен път в сферата на общото стоково обръщение.
п—с представлява редица покупки с пари, които капиталистът изразходва било за същински стоки, било за услуги за своята особа или за своето семейство. Тези покупки са раздробени, извършват се в различни моменти. Следователно парите съществуват временно във формата на паричен запас, предназначен за текущо потребление, или във формата на съкровище — защото парите, чието обръщение е прекъснато, се намират именно във формата на съкровище. Тяхната функция като средство за обръщение, а такова те остават и в своята преходна форма на съкровище, не влиза в обръщението на капитала в неговата парична форма П. <Тази функция изхожда от кръгооборота на индивидуалния капитал, но не влиза отново в него.> Парите в дадения случай не се авансират, а се изразходват.
Ние приемахме, че целият авансиран капитал винаги изцяло преминава от една фаза в друга; така и тук ние приемаме, че стоковият продукт на процеса Пр носи в себе си цялата стойност на производителния капитал Пр = 422 ф. ст. плюс принадената стойност = 78 ф. ст., създадена във време на производствения процес. В нашия пример, където ние имаме работа с делим стоков продукт, принадената стойност съществува във формата на 1560 фунта прежда — точно както ако пресмятаме върху 1 фунт прежда тя съществува във формата на 2496 унции прежда. Ако, напротив, стоковият продукт беше например машина за 500 ф. ст. и със същия състав по стойност, то макар една част от стойността на тази машина да бъде = 78 ф. ст. принадена стойност, тези 78 ф. ст. биха съществували само в машина като цяло: без да разбиваме машината на парчета, без да унищожаваме по такъв начин заедно с нейната потребителна стойност и нейната стойност, не можем да я разделим на капиталова стойност и принадена стойност. Следователно двете съставни части на стойността могат да бъдат представени в съставните части на стоковото тяло само мислено, а не като самостоятелни елементи на стоката С, както всеки фунт прежда представлява отделим самостоятелен елемент на 10 000 фунта стока. В първия случай, преди п да започне своето отделно обръщение, трябва да бъде продадена изцяло цялата стока, стоковият капитал, машината. Напротив, ако капиталистът продаде 8440 фунта, продажбата на останалите 1560 фунта ще представлява напълно обособено обръщение на принадената стойност във форма с (1560 фунта прежда) — п (78 ф. ст.) — с (предмети за потребление). Но елементите на стойността на всяка отделна част от 10 000 фунта продукт, прежда, могат да бъдат точно така представени като части от продукта, както елементите на стойността на целия продукт. Последният, 10 000 фунта прежда, може да се раздели на стойността на постоянния капитал (с), 7440 фунта прежда на стойност 372 ф. ст., стойността на променливия капитал (v) 1000 фунта прежда за 50 ф. ст., и принадена стойност (m), 1560 фунта прежда за 78 ф. ст. Точно така и всеки фунт прежда може да се раздели на с = 11 904 унции на стойност 8928 пенса, v = 1600 унции прежда на стойност 1200 пенса, m = 2496 унции прежда на стойност 1872 пенса. Капиталистът би могъл също така, продавайки последователно 10 000 фунта на части, постепенно да потребява съдържащите се в тези части елементи принадена стойност, при което също постепенно би реализирал сумата с+v. Но в края на краищата и тази операция предполага, че са продадени всичките 10 000 фунта и че следователно с продажбата на 8440 фунта е възстановена стойността на с и v (Книга I, глава VII, 2).
Както и да е, чрез акта С'—П' капиталовата стойност и принадената стойност, включващи се в С', придобиват отделимо една от друга съществуване, съществуване на различни парични суми; в двата случая както П, така и п е действително превърната форма на онази стойност, която първоначално в С' имаше изключително мислен израз, само като цена на стоката.
с—п—с представлява просто стоково обръщение; първата негова фаза с—п се включва в обръщението на стоковия капитал С'—П', следователно в кръгооборота на капитала; напротив, неговата допълваща фаза п—с лежи извън този кръгооборот, извършва се като обособен от него акт на общото стоково обръщение. След превръщането на С' в П' обръщението на С' и с, на капиталовата стойност и принадената стойност, се разделя. Оттук произтича следното:
Първо. След като посредством акта С'—П' = С'—(П+п) стоковият капитал е реализиран, явява се възможността да се раздели движението на капиталовата стойност и принадената стойност, което в С'—П' оставаше общо и се извършваше от една и съща стокова маса; сега и едната, и другата стойност придобиват самостоятелност във формата на отделни парични суми.
Второ. Ако това разделяне се извършва, при което п се изразходва като доход на капиталиста, а П като функционална форма на капиталовата стойност продължава своя път, определян от кръгооборота, то първият акт С'-П' във връзка със следващите актове П—С и п-с може да бъде представен във вид на две различни обръщения: С-П—С и с-п-с; двата тези реда по своята обща форма се отнасят към обикновеното стоково обръщение.
Впрочем на практика, когато става дума за цялостни, неделими стокови тела, съставните части на стойността се обособяват мислено. Например в лондонските строителни предприятия, по-голямата част от които работят с кредит, строителният предприемач получава аванси съобразно с преминаването на строежа на сградата от един стадий в друг. Нито един от тези стадии не е сграда, а само реално съществуваща съставна част от бъдещата сграда, която се намира в процес на строеж; следователно въпреки своята реалност това е само идеална част от цялата сграда, и все пак достатъчно реална, за да служи като гаранция за допълнителен заем. (Относно това виж по-долу глава XII*2).
Трето. Ако движението на капиталовата стойност и принадената стойност, което оставаше още общо в С и П, се разделя само отчасти (така че част от принадената стойност се разходва не като доход) или съвсем не се разделя, то в самата капиталова стойност се извършва изменение още във време на нейния кръгооборот, преди неговото завършване. В нашия пример стойността на производителния капитал беше равна на 422 ф. ст. Следователно, ако той продължи движението П—С вече във вид например на 480 ф. ст. или на 500 ф. ст., то последните стадии на кръгооборота той извършва като стойност с 58 ф. ст., или със 78 ф. ст. по-голяма, отколкото е била началната стойност. В същото време това може да бъде свързано с изменение в строежа на капитала по стойност.
С'—П', вторият стадий на обръщението и заключителният стадий на кръгооборот I (П...П'), е в нашия кръгооборот негов втори стадий и първи стадий на стоковото обръщение. Следователно, доколкото се касае до обръщението, С'—П' трябва да бъде допълнено посредством П'—С'. Но С'—П' не само вече е завършил процеса на нарастване на стойността (в дадения случай функцията на Пр, първия стадий), но и неговият резултат, стоковият продукт С', вече е реализиран. Следователно С'—П' завършва процеса на нарастването на стойността на капитала, както и реализацията на онзи стоков продукт, в който се явява нарасналата капиталова стойност.
И така, ние приехме просто възпроизводство, т. е., че п—с съвсем се отделя от П-С. И двете обръщения, както с-п-с, така и С-П—С, по своята обща форма се отнасят към стоковото обръщение (и поради това не разкриват никаква разлика в стойността между двата крайни члена); поради това лесно е да се схване капиталистическият производствен процес, както при вулгарната икономия, просто като производство на стоки, на потребителни стойности, предназначени за един или друг род потребление и произвеждани от капиталиста изключително с цел да ги замени със стоки с друга потребителна стойност или, както невярно твърди вулгарната политическа икономия, да ги обменя срещу тези стоки.
С' се явява от самото начало като стоков капитал и целта на целия процес, обогатяването (нарастването на стойността), не само не изключва личното потребление на капиталиста, което нараства с величината на принадената стойност (а следователно и на капитала), но и направо го предполага.
При обръщението на дохода на капиталиста произведената стока с (или мислено съответстващата ѝ част от стоковия продукт С') фактически служи само на това, да превърне този доход отначало в пари, а след това от пари в редица други стоки, служещи за лично потребление. Но при това не трябва да се изпуска изпредвид едно мъничко обстоятелство: с е стокова стойност, която нищо не е струвала на капиталиста, въплъщение на принаден труд, а поради това то излиза на сцената първоначално като съставна част на стоковия капитал С'. Следователно вече със самото си съществуване това с е свързано с кръгооборота на извършващата своя процес капиталова стойност; ако този кръгооборот спре или изобщо настъпи някакво нарушение в него, то съкращава се или даже съвсем се прекратява не само потреблението на с, но в същото това време и пласментът на редицата стоки, съставляващи възстановяването на с. Същото е и в случая, когато актът С'—П' не се осъществи или се продаде само известна част от С.
Ние видяхме, че с-п-с, като обръщение на дохода на капиталиста, влиза в обръщението на капитала само докато с е част от стойността на С', на капитала в неговата функционална форма на стоков капитал; но станало самостоятелно в п-с, обръщението на дохода в неговата пълна форма с-п-с не влиза в движението на капитала, авансиран от капиталиста, макар и да изхожда от него. Обръщението на дохода е свързано с обръщението на авансирания капитал, доколкото съществуването на капитала предполага съществуването на капиталиста, а последното се обуславя от неговото потребление на принадена стойност.
С', например преждата, функционира в общото обръщение само като стока; но като момент в обръщението на капитала С' функционира като стоков капитал, като една от формите, които последователно взема и изоставя капиталовата стойност. След продаването на преждата на търговеца тя излиза от процеса на кръгооборота на онзи капитал, продукт на който представлява, но въпреки това все още остава като стока в сферата на обръщението. Обръщението на същата тази стокова маса все още продължава, макар то да е престанало да съставлява момент в самостоятелния кръгооборот на капитала на предача. По този начин действително заключителната метаморфоза на стоковата маса, хвърлена от капиталиста в обръщението, актът С—П, окончателното нейно излизане в сферата на потреблението, може да бъде съвсем отделен в пространство и време от онази метаморфоза, в която тази стокова маса функционира като стоков капитал на дадения капиталист. Същата онази метаморфоза, която вече се е извършила в областта на обръщението на дадения капитал, остава още да се извърши в сферата на общото обръщение.
Работата никак не се изменя, ако преждата на свой ред влиза в кръгооборота на друг промишлен капитал. Общото обръщение обхваща както взаимно преплитащите се кръгообороти на различни самостоятелни части на обществения капитал, т. е. както съвкупността на отделните капитали, така и обръщението на стойностите, хвърлени на пазара не като капитал, респективно стойностите, отиващи за личното потребление.
Отношението между кръгооборота на капитала, доколкото той съставлява част от общото обръщение, и кръгооборота, доколкото той съставлява звена на самостоятелен кръгооборот, на свой ред изпъква пред нас, ако разгледаме обръщението на П'=П+п. П, като паричен капитал, продължава кръгооборота на капитала; п, като изразходване на доход (п—с), влиза в общото обръщение, но отпада от кръгооборота на капитала. В последния кръгооборот влиза само онази част на п, която функционира като допълнителен паричен капитал. В с—п—с парите функционират само като монета; целта на това обръщение е личното потребление на капиталиста. Типично за кретенизма на вулгарната политическа икономия е, че тя представя това обръщение, невлизащо в кръгооборота на капитала — обръщението на онази част на новосъздадената стойност, която се потребява като доход, — за характерен за капитала кръгооборот.
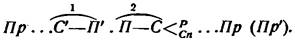
Във втората фаза, П-С, пред нас отново се оказва капиталовата стойност П=Пр (на стойността на производителния капитал, с който тук се открива кръгооборотът на промишления капитал), освободена от принадената стойност, следователно със същата величина на стойността, както в първия стадий на кръгооборота на паричния капитал П—С. Въпреки различното място, функцията на паричния капитал, в който сега се е превърнал стоковият капитал, е същата: неговото превръщане в Сп и Р, в средство за производство и работна сила.
И така, във функцията на стоков капитал С'—П' капиталовата стойност едновременно със с—п е преминала фазата С—П и след това влиза в допълващата фаза П-С<РСп, следователно, нейното цялостно обръщение е С-П-С<РСп
Първо. Паричният капитал П се явява във форма I (кръгооборот П...П') като първоначална форма, в която се авансира капиталовата стойност; тук той се явява от самото начало като част от онази парична сума; в която се е превърнал стоковият капитал в първата фаза на обръщението С'—П', следователно от самото начало се явява като превръщане на Пр, на производителния капитал, в парична форма, посредством продажбата на стоковия продукт. Паричният капитал съществува тук от самото начало не като първоначална и не като заключителна форма на капиталовата стойност, защото фазата П—С, завършваща фазата С—П, може да бъде премината само чрез вторично напускане на паричната форма. Поради това онази част на П—С, която представлява в същото време П—Р, вече не се явява като просто авансиране на пари, изразяващо се в купуване на работна сила, а като такова авансиране, при което за работната сила се авансират в парична форма същите онези 1000 фунта прежда на стойност 50 ф. ст., които съставляват част от стоковата стойност, създадена от работната сила. Парите, авансирани тук на работника, са само превърната еквивалентна форма на част от стойността на стоката, произведена от самия работник. И вече само по тази причина актът П—С, доколкото той е акт П—Р, съвсем не е просто заместване на стока в парична форма със стока в потребителна форма, но заключава в себе си и други елементи, независими от общото стоково обръщение като такова.
П' се явява като превърната форма на С', което на свой ред е продукт на миналите функции на Пр, на производствения процес; поради това цялата парична сума П' е паричен израз на минал труд. В нашия пример 10 000 фунта прежда = 500 ф. ст., на продукта на процеса на преденето; от тях 7440 фунта прежда = авансирания постоянен капитал с=372 ф. ст.; 1000 фунта прежда = авансирания променлив капитал v=50 ф. ст. и 1560 фунта прежда = принадената стойност m=78 ф. ст. Ако от П' отново се авансира, при равни други условия, само първоначалният капитал = 422 ф. ст., то в следващата седмица на работника ще бъде авансирана в акта П—Р само част от 10 000 фунта прежда (именно паричната стойност на 1000 фунта прежда), произведени през тази седмица. Като резултат на акта С—П парите всякога са израз на минал труд. Ако веднага на стоковия пазар се извърши допълващият акт П—С, следователно, ако П се превърне в налични, намиращи се на пазара стоки, то пак се извършва превръщане на минал труд от една форма (пари) в друга форма (стока). Но по време П-С е различен от С—П. В изключителни случаи те могат да бъдат едновременни, ако например капиталистът, който извършва П—С, и капиталистът, за който този акт е акт С—П, едновременно предават един на друг своите стоки, и П след това покрива само разликата. Разликата във времето между изпълнението на С—П и П-С може да бъде повече или по-малко значителна. Макар П, като резултат на акта С—П, да представлява минал труд, все пак П за акта П—С може да представлява превърната форма на стоки, които още не се намират на пазара и които ще се появят на него едва в бъдеще, тъй като актът П—С ще трябва да се извърши едва след като е произведена нова С. Също така П може да представлява стоки, които се произвеждат едновременно с онова С, паричен израз на което е П. Например в обмена П— С (покупка на средства за производство) каменните въглища могат да бъдат купени, преди да са извадени от рудника. Ако п фигурира като натрупани пари, а не се разходва като доход, то може да представлява памук, който ще бъде произведен едва в следващата година. Същото е при разходване на дохода на капиталиста, при п—с. Също така работната заплата Р=50 ф. ст.; тези пари са не само парична форма на минал труд на работника, но в същото време и асигнация за едновременен или бъдещ труд, който току-що се реализира или трябва да се реализира в бъдеще. Работникът може да си купи с тях дреха, която ще бъде направена едва през следващата седмица. Така именно стои работата с много голям брой необходими средства за живот, които, за да не се развалят, трябва да бъдат потребени почти непосредствено в момента на тяхното производство. По този начин в парите, които се дават на работника като работна заплата, той получава превърнатата форма на бъдещ труд — свой собствен или на други работници. Давайки му част от неговия минал труд, капиталистът му дава асигнация за негов собствен бъдещ труд. Неговият собствен едновременен или бъдещ труд образува онзи още несъществуващ запас, от който му се заплаща за неговия минал труд. Тук съвсем изчезва представата за образуване на запас*3.
Второ. В обръщението С-П-С<РСп едни и същи пари сменят местата си два пъти: капиталистът ги получава отначало като продавач и ги дава по-нататък като купувач; превръщането на стока в парична форма служи само за да я превърне отново от парична форма в стокова форма; поради това паричната форма на капитала, неговото съществуване като паричен капитал, е в това движение само мимолетен момент; иначе казано, докато продължава движението, паричният капитал, когато служи за покупателно средство, е само средство за обръщение; като същинско платежно средство той се явява, когато капиталистите взаимно купуват един от друг и поради това трябва да се изравнява само платежният баланс.
Трето. Функционирането на паричния капитал, все едно дали той служи като просто средство за обръщение, или пък като платежно средство, опосредства само заместването на С с елементите Р и Сп, т. е. заместването на преждата, стоковия продукт — резултат на производителния капитал (като се спадне принадената стойност, използвана като доход) — с елементите на производството на този продукт; следователно опосредства обратното превръщане на капиталовата стойност от нейната стокова форма в елементите на образуването на тази стока; значи в края на краищата опосредства обратното превръщане на стоковия капитал в производителен капитал.
За да се извършва кръгооборотът нормално, С' трябва да бъде продадено по своята стойност и продадено без остатък. Освен това С—П—С съдържа не само заместване на една стока с друга, но заместване при едни и същи стойностни съотношения. Ние приехме, че именно така се извършва заместването. Но в действителност стойностите на средствата за производство се менят; на капиталистическото производство именно е свойствено непрекъснатото изменение на стойностните съотношения вече следствие на постоянните изменения в производителността на труда, характеризиращи капиталистическото производство. Тук ние просто споменаваме за това изменение в стойността на факторите на производството, което ще бъде изследвано по-късно.*4 Превръщането на елементите на производството в стоков продукт, на Пр в С, се извършва в сферата на производството; обратното превръщане на С' в Пр — в сферата на обръщението. Това обратно превръщане се извършва посредством проста стокова метаморфоза. Но по своето съдържание то е момент в процеса на възпроизводството, разглеждан като цяло. С—П—С като форма на обръщението на капитала съдържа функционално определена обмяна на веществата. Превръщането на С—П—С обуславя по-нататък, че С е равно на елементите на производството на стоковото количество С и че взаимното отношение на стойностите на тези елементи остава първоначалното. Следователно тук се приема не само че стоките се купуват по тяхната стойност, но и че те във време на кръгооборота не претърпяват никакво изменение на стойността; в противен случай процесът не може да протича нормално.
П в П...П' е първоначална форма на капиталовата стойност, която форма се смъква, за да се приеме отново. П в Пр...С'—П'—С...Пр е форма, която се приема само в процеса и след това пак в неговите граници отново се напуска. Тук паричната форма е само мимолетна самостоятелна форма на стойността на капитала. Капиталът, намирайки се във формата С', също така трескаво се стреми да приеме парична форма, както намирайки се във формата П', превърнал се в нея като в какавида, се стреми да я напусне, за да се превърне отново във формата на производителен капитал. Докато този капитал остава в парична форма, той не функционира като капитал и поради това не увеличава стойността си; капиталът лежи неизползван. П действа тук като средство за обръщение, но като средство за обръщение на капитала*5. Привидната самостоятелност, която притежава паричната форма на капиталовата стойност в първата форма на нейния кръгооборот (във формата на паричен капитал), изчезва в тази втора форма, която по този начин се явява като критика на форма I и я свежда само до положението на отделна форма. Ако втората метаморфоза П—С се натъква на препятствия (ако например на пазара няма средства за производство), тогава кръгооборотът, течението на процеса на възпроизводството, се прекъсва точно така, както и в онзи случай, когато капиталът се залежава във форма на стоков капитал. Но има и разлика: капиталът може да чака в парична форма по-дълго, отколкото в преходната стокова форма. Като не функционира като паричен капитал, той не престава да бъде пари; но ако твърде много се задържа в своята функция на стоков капитал, той престава да бъде стока и въобще потребителна стойност. Второ, намирайки се в парична форма, той притежава способността вместо своята първоначална форма на производителен капитал да приеме друга форма, докато във формата С той въобще не е в състояние да мръдне от мястото си.
С'—П'—С включва само за С', съответно на неговата форма, актове на обръщение, които са моменти от неговото възпроизводство; но за осъществяването на С'—П'—С е необходимо действително възпроизводство на онова С, в което се превръща С', същото това възпроизводство на свой ред се обуславя от възпроизводствени процеси извън процеса на възпроизводството на индивидуалния капитал, представен в С'.
Във форма I актът П-С<РСп подготвя само първото превръщане на паричния капитал в производителен капитал; във форма II този акт подготвя обратното превръщане от стоков капитал в производителен капитал; следователно, доколкото влагането на промишлен капитал остава предишното, подготвя обратното превръщане на стоковия капитал в същите онези елементи на производството, от които той е произлязъл. Поради това тук, както във форма I, този акт представлява подготвителна фаза на процеса на производството, но вече като възвръщане към него, като негово възобновяване, следователно като предшественик на процеса на възпроизводството, а поради това — предшественик на повторението и на процеса на нарастване на стойността.
Необходимо е още веднъж да се отбележи, че актът П—Р е не прост стокообмен, а покупка на стоката Р, която трябва да служи за производство на принадена стойност, тъй както и П—Сп е само процедура, веществено необходима за постигане на същата цел.
П след извършването на П-С<РСп се превръща отново в производителен капитал, в Пр, и започва кръгооборота отново.
Следователно формата Пр...С'—П'—С...Пр в нейния разгърнат вид е такава:
Превръщането на паричен капитал в производителен капитал е покупка на стоки за производство на стоки. Само доколкото потреблението представлява това производително потребление, то влиза в кръгооборота на самия капитал; условието за това потребление се заключва в това, че посредством потребяваните производително стоки се създава принадена стойност. А това е нещо твърде различно от онова производство и даже от онова стоково производство, целта на което е съществуването на производителя; замяната на стока със стока, обуславяна от производството на принадена стойност, е нещо съвсем друго от обмяната на продукта сама по себе си, само опосредствана от парите. Но така представят нещата икономистите с цел да докажат, че свръхпроизводството е невъзможно.
Освен производителното потребление на П, превърнало се в Р и Сп, в кръгооборота се съдържа първият член на П—Р, който за работника представлява Р—П=С—П. От обръщението Р—П—С, което започва от работника и включва неговото потребление в кръгооборота на капитала, влиза само първият член като резултат на П—Р. Вторият акт, именно П—С, не влиза в обръщението на индивидуалния капитал, макар и да изхожда от него. Но за класата на капиталистите е необходимо постоянното съществуване на работническата класа, а поради това необходимо е и потреблението на работника, опосредствано от акта П—С.
По отношение на продължението на кръгооборота на капиталовата стойност, а също така по отношение на потреблението на принадената стойност от капиталиста актът С'—П' предполага само, че С' е превърнато в пари, е продадено. То се купува, разбира се, само защото предметът представлява потребителна стойност и следователно е пригоден за един или друг вид потребление, производително или лично. Но ако С продължава обръщението, например в ръцете на търговеца, който е купил преждата, то това в началото няма никакво отношение към продължението на кръгооборота на онзи индивидуален капитал, който е произвел преждата и я е продал на търговеца. Целият процес продължава, а заедно с това продължава и обусловеното от него лично потребление на капиталиста и работника. Обстоятелство, важно при изучаването на кризите.
Именно когато С' е продадено, е превърнато в пари, то може да бъде обратно превърнато в реалните фактори на процеса на труда, а следователно и на процеса на възпроизводството. Непосредствено нищо не се изменя в случая от това, дали С е купено от крайния потребител или от търговеца, който на свой ред иска да го продаде. Размерите на стоковите маси, създавани от капиталистическото производство, се определят от мащаба на това производство и от потребността то постоянно да се разширява, а съвсем не от предопределен кръг на търсене и предлагане, не от кръга на потребностите, подлежащи на задоволяване. За масовото производство непосредствен купувач може да бъде, освен другите промишлени капиталисти, само търговецът на едро. В известни граници процесът на възпроизводството може да се извършва в предишния или даже в разширен мащаб, макар излезлите от него стоки в действителност да не са преминали в сферата на личното и производителното потребление. Потреблението на стоките не се включва в кръгооборота на капитала, от който те са произлезли. Например продадена ли е веднъж преждата, кръгооборотът на капиталовата стойност, представена в преждата, може да започне отново, независимо от това, какво в началото е станало с продадената прежда. Докато продуктът се продава, всичко върви нормално от гледна точка на капиталистическия производител. Кръгооборотът на капиталовата стойност, представител на която е този капиталистически производител, не се прекъсва. А ако този процес се разширява — което включва в себе си разширение на производителното потребление на средства за производство, — то такова възпроизводство на капитала може да се придружава от разширение на личното потребление (и следователно на търсенето) на работниците, защото този процес започва и се опосредства от производително потребление. Така производството на принадена стойност, а заедно с него и личното потребление на капиталиста може да расте, целият процес на възпроизводството може да се намира в най-цветущо положение — и все пак голяма част от стоките може да преминава в сферата на потреблението само привидно, а в действителност да остава неразпродадена в ръцете на препродавачите, следователно фактически все още да се намира на пазара. Но стоките следват поток след поток и най-после става ясно, че предишният поток само привидно е погълнат от потреблението. Стоковите капитали взаимно си оспорват един на друг място на пазара. Явилите се по-късно продават на намалена цена, само за да продадат. Предишните потоци още не са пласирани, а вече настъпват сроковете на плащанията по тях. Техните притежатели трябва да се обявяват в несъстоятелност или пък, за да извършат плащанията, да продават на каква да е цена. Такава продажба няма нищо общо с действителното състояние на търсенето. Тя има общо само с търсенето на плащане, с абсолютната необходимост да се превърне стока в пари. Тогава избухва криза. Тя се проявява не в непосредствено намаляване на потребителското търсене, на търсенето за лично потребление, а в намаляване на обмена на капитал срещу капитал, в свиване на процеса на възпроизводството на капитала.
Ако стоките Сп и Р, в които се превръща П, за да изпълни своята функция на паричен капитал, на капиталова стойност, предназначена за обратно превръщане в производителен капитал — ако тези стоки се купуват и заплащат в различни срокове и следователно П—С представлява редица покупки и плащания, извършвани едно след друго, то част от П извършва акта П—С, докато друга част все още остава в парично състояние, за да послужи после, в момент, определян от условията на самия процес, за редица едновременни или последователни актове П—С. Тази част само временно остава вън от обръщението, за да влезе в известен момент в действие, да пристъпи към изпълнение на своята функция. Но самото запазване на тази част в запас представлява на свой ред функция, определяна от нейното обръщение и предназначена за обръщението. В такъв случай нейното съществуване като покупателен и платежен фонд, спирането на нейното движение, състоянието на прекъсване в нейното обръщение също така представлява състояние, в което парите изпълняват една от своите функции като паричен капитал. Като паричен капитал, защото в този случай самите временно намиращи се в покой пари са част от паричния капитал П (П'—п=П), от онази част на стойността на стоковия капитал, която = Пр, е равна на стойността на производителния капитал, представляващ изходния пункт на кръгооборота. От друга страна, всичките пари, изтеглени от обръщението, се намират във формата на съкровище. Следователно формата на съкровище, в която се намират парите, става тук функция на паричния капитал, също както в П—С функцията на парите като покупателно средство и платежно средство става функция на паричния капитал. Причината се заключва в това, че капиталовата стойност съществува тук в парична форма, паричната форма се явява тук като състояние на промишления капитал, определяно от общата връзка на неговия кръгооборот на един от стадиите на последния. Но тук в същото време отново се оказва правилно, че паричният капитал в кръгооборота на промишления капитал не изпълнява никакви други функции, освен функциите на пари, и че тези функции на пари само поради своята връзка с другите стадии на този кръгооборот имат в същото време значение на функции на капитала.
Представянето на П' като отношение на п към П, като капиталистическо отношение, е непосредствена функция не на паричния капитал, а на стоковия капитал С', който на свой ред изразява във вид на отношение на с и С само резултата от процеса на производството, от извършилото се в последния самонарастване на капиталовата стойност.
Ако продължаването на процеса на обръщението се натъква на препятствия, така че П се принуждава от външни обстоятелства, от положението на пазара и пр., да спре своята функция П—С и следователно повече или по-малко продължително време да остава в своята парична форма, то пред нас са пак пари във вид на съкровище. Това става и при простото стоково обръщение, когато преходът от С—П към П—С се прекъсва от външни обстоятелства. Тук имаме принудително образуване на съкровище. По този начин в нашия случай парите имат форма на лежащ неизползван, латентен паричен капитал. Обаче засега ние няма повече да се спираме на това.
Но и в двата случая оставането на паричния капитал в неговото парично състояние се явява като резултат на прекъснато движение, независимо от това, дали това прекъсване е целесъобразно или нецелесъобразно, доброволно или недоброволно, дали произтича от функциите на капитала или им противоречи.
II. НАТРУПВАНЕ И ВЪЗПРОИЗВОДСТВО В РАЗШИРЕН МАЩАБ
Тъй като пропорциите, в които може да се разширява процесът на производството, не са произволни, а се предписват от техниката, то реализираната принадена стойност, макар да е предназначена за капитализация, често едва чрез повтарянето на няколко кръгооборота достига такъв размер (следователно трябва дотогава да бъде натрупвана), при който тя действително може да функционира като допълнителен капитал или да влезе в кръгооборота на капиталовата стойност, извършваща своя процес. Следователно принадената стойност застива в съкровище и представлява в тази форма латентен паричен капитал. Латентен, защото не може да действа като капитал, докато остава в парична форма.6а) Следователно образуването на съкровище се явява тук като момент, който влиза в процеса на капиталистическото натрупване, придружава го, но в същото време и съществено се различава от него. Защото образуването на латентен паричен капитал не разширява самия процес на производството. Напротив, тук се образува латентен паричен капитал, защото капиталистическият производител не може непосредствено да разшири мащаба на своето производство. Ако той продава своя принаден продукт на производител на злато или сребро, който хвърля в обръщение ново злато или сребро, или — което се свежда до същото — на търговец, който в обмен за известна част от националния принаден продукт внася от чужбина допълнително злато или сребро, то неговият латентен паричен капитал образува прираст на националното златно или сребърно съкровище. Във всички други случаи, напр. онези 78 ф. ст., които в ръцете на купувача бяха средство за обръщение, в ръцете на капиталиста придобиват само форма на съкровище; следователно става само ново разпределение на националното златно или сребърно съкровище.
Ако в сделките на нашия капиталист парите функционират като платежно средство (така че купувачът плаща стоките едва след повече или по-малко продължителен срок), то принаденият продукт, предназначен за капитализация, се превръща не в пари, а във вземания, в титул на собственост върху еквивалент, който купувачът може би вече притежава или пък може би само очаква. Този еквивалент не влиза в процеса на възпроизводството, отнасящ се към дадения кръгооборот — както не влизат в него и парите, вложени в лихвоносни книжа и т. н., — макар че той може да влиза в кръгооборота на други индивидуални промишлени капитали.
Целият характер на капиталистическото производство се определя от нарастването на авансираната капиталова стойност, следователно на първо място от производството на колкото е възможно повече принадена стойност; а второ (виж книга I, гл. XXII) — от производството на капитал, следователно от превръщане на принадена стойност в капитал. Натрупването или производството в разширен мащаб, което като средство за постоянно разширяване произвеждането на принадена стойност, а оттам за обогатяване на капиталиста се явява като лична цел на последния и съставлява една от общите тенденции на капиталистическото производство, по-нататък поради своето развитие става, както е показано в първа книга, необходимост за всеки индивидуален капиталист. Постоянното увеличение на неговия капитал става условие за запазването на този капитал. Обаче ние няма да се връщаме към това, за което говорихме по-рано.
Най-напред ние разгледахме простото възпроизводство, при което се приемаше, че цялата принадена стойност се изразходва като доход. При нормални условия част от принадената стойност в действителност всякога трябва да се изразходва като доход, а друга да се капитализира, при което е съвсем безразлично, че принадената стойност, произведена в един или друг определен период, ту изцяло се потребява, ту изцяло се капитализира. Средно взето — а общата формула може да даде само средното движение, — се извършва и едното, и другото. Обаче за да не усложняваме формулата, по-добре ще бъде да приемем, че се натрупва цялата принадена стойност. Формулата Пр...С'—П'-С'<РСп...Пр' изразява производителен капитал, който се възпроизвежда в разширен мащаб, като капитал с по-голяма стойност, и след това започва своя втори кръгооборот или, което е същото, възобновява първия кръгооборот вече като нараснал производителен капитал. Когато започва този втори кръгооборот, ние имаме като изходен пункт пак Пр; но само че това Пр представлява производителен капитал с по-големи размери от тези на първото Пр. Точно така, когато във формулата П...П' вторият кръгооборот започва с П', това П' функционира като П, като авансиран паричен капитал с определена величина; това е паричен капитал с по-големи размери, отколкото онзи, с който е започнал първият кръгооборот; но щом той започне да изпълнява функцията на авансиран паричен капитал, вече изчезва всякакъв помен от това, че той е нараснал чрез капитализация на принадена стойност. Във формата на паричен капитал, който започва своя кръгооборот, следите на този произход са заличени. Същото става и с Пр', когато служи като изходен пункт на нов кръгооборот.
Ако сравним Пр...Пр' с П...П', или с първия кръгооборот, ще видим, че тяхното значение далеч не е еднакво. П...П', взето само по себе си, като обособен кръгооборот, изразява само едно: че П, паричният капитал (или промишленият капитал в своя кръгооборот като паричен капитал), е пари, пораждащи пари, стойност, пораждаща стойност, че той произвежда принадена стойност. В кръгооборота на Пр, напротив, със завършването на първия стадий, стадия на производствения процес, процесът на нарастването на стойността вече се е извършил, а след изтичането на втория стадий С'—П' (първия стадий на обръщението) капиталовата стойност + принадената стойност съществуват вече като реализиран паричен капитал, като П', което в първия кръгооборот беше последният краен член. Че е произведена принадена стойност, е изразено в разгледаната по-преди форма Пр...Пр (виж разгърнатата формула на стр. 47*6) посредством с —п—с, което в своя втори стадий излиза от сферата на обръщението на капитала и представлява обръщение на принадената стойност като доход. В тази форма, където цялото движение е изразено във вид на Пр...Пр, където следователно между двете крайни точки няма никакво различие в стойността, нарастването на авансираната стойност, произвеждането на принадена стойност, е също така изразено, както в акта П...П'; само че актът С'—П', който е последен стадий в П—П' и втори стадий на кръгооборота, се явява като първи стадий на обръщението в Пр...Пр.
Пр' в Пр...Пр' изразява не това, че е произведена принадена стойност, а това, че произведената принадена стойност е капитализирана, че следователно е станало натрупване на капитал, а поради това Пр' противоположно на Пр се състои от първоначалната капиталова стойност плюс стойността на капитала, натрупана благодарение на движението на капиталовата стойност.
И П', като просто заключение на П...П', и С', каквото то се явява във всичките тези кръгообороти, взети сами по себе си, изразяват не движението, а неговия резултат: нарастване на капиталовата стойност, реализирано в стокова форма или в парична форма, а поради това изразяват капиталовата стойност като П+п или като С+с, т. е. във вид на отношение на капиталовата стойност към принадената стойност като към свой потомък. Те изразяват този резултат във вид на различни форми на обръщението на нарасналата капиталова стойност. Но нито във формата на С', нито във формата на П' самото извършило се нарастване на стойността не е функция било на паричния, било на стоковия капитал. Паричният и стоковият капитал са особени, различни форми, различни начини на съществуване на промишления капитал, които съответстват на различни негови функции. Паричният капитал може да изпълнява само парични функции, стоковият капитал — само стокови функции, и разликата между тях е само разлика между пари и стока. Също така промишленият капитал в своята форма на производителен капитал може да се състои само от онези елементи, които въобще влизат във всеки процес на труда, създаващ продукти: от една страна, от предметни условия на труда (средства за производство), от друга страна, от производително (целесъобразно) функционираща работна сила. Както промишленият капитал може да съществува в сферата на производството само в такъв състав, който съответства на процеса на производството въобще, а следователно и на некапиталистическия процес на производство, така в сферата на обръщението той може да съществува само в двете съответстващи ѝ форми на стока и пари. Но сумата на елементите на производството още от самото начало се проявява като производителен капитал, защото работната сила е чужда работна сила, която капиталистът е купил от нейния притежател точно така, както той си купува средства за производство от други стокопритежатели; поради това и самият процес на производството се представя като производителна функция на промишления капитал, а парите и стоката представляват форми на обръщението на същия този промишлен капитал и следователно функциите на парите и на стоката са функции на обръщението на този капитал, при което те или служат като подготовка към функциите на производителния капитал, или произтичат от тях. Функцията на пари и функцията на стока са тук в същото време функции на паричен капитал и на стоков капитал само вследствие на това, че те са свързани помежду си като форми на онези функции, които промишленият капитал трябва да изпълнява в различните стадии от процеса на своя кръгооборот. Следователно би било неправилно специфичните свойства и функции, които характеризират парите като пари и стоката като стока, да се извеждат от техните свойства като капитал — и обратното, също така е неправилно да се извеждат свойствата на производителния капитал от начина на неговото съществуване във вид на средства за производство.
Когато П' или С' се фиксира във вид на П+п, С+с, т. е. във вид на отношение на капиталовата стойност към принадената стойност като потомък на първата, то това отношение намира своя израз един път в парична форма, друг път — в стокова форма, от което нещата ни най-малко не се изменят. Следователно това отношение произтича не от свойствата и функциите, присъщи на парите като такива или на стоката като такава. И в двата случая характеризиращото капитала свойство, че той е стойност, пораждаща стойност, е изразено само като резултат. С' всякога е продукт от функционирането на Пр, а П' е само превърнатата в кръгооборота на промишления капитал форма на С. Поради това, когато реализираният паричен капитал отново започва да функционира като паричен капитал, той престава да служи като израз на капиталистическото отношение, което се съдържа в П'=П+п. Когато П...П' е изминато и П' отново започва кръгооборота, П' фигурира вече не като П', а като П, дори ако цялата принадена стойност, заключаваща се в П', е капитализирана. В нашия пример вторият кръгооборот започва с паричен капитал от 500 ф. ст., докато първият е започнал с 422 ф. ст. Паричният капитал, който открива кръгооборота, е със 78 ф. ст. по-голям, отколкото беше преди; тази разлика съществува при сравняване на единия кръгооборот с другия; но за това сравнение няма място в рамките на всеки отделен кръгооборот. Авансираните като паричен капитал 500 ф. ст., от които 78 ф. ст. са съществували преди като принадена стойност, играят съвсем същата роля както 500 ф. ст., с които друг капиталист открива своя пръв кръгооборот. Същото е и в кръгооборота на производителния капитал. Нарасналото Пр' при възобновяване се явява просто като Пр, подобно на Пр в простото възпроизводство Пр...Пр.
На стадия П'-С'<РСп нарасналата величина е отбелязана само посредством С', но не посредством Р' и Сп'. Тъй като С е сума от Р и Сп, то вече С показва, че сумата на съдържащите се в него Р и Сп е по-голяма, отколкото в първоначалното Пр. Но вън от това обозначението Р' и Сп' би било и погрешно, защото, както знаем, с нарастването на капитала е свързано изменение на неговия стойностен състав, при което стойността на Сп расте, а стойността на Р всякога се намалява относително, а често и абсолютно.
III. НАТРУПВАНЕ НА ПАРИ
Може ли п, принадената стойност, превърнала се в пари, незабавно отново да се прибави към капиталовата стойност, която извършва процеса на своето движение, и по този начин заедно с капитала П в състава на П' да влезе в процеса на кръгооборота — това се определя от обстоятелства, независими от самата наличност на п. Ако п трябва да послужи като паричен капитал в ново, самостоятелно предприятие, което предстои да се основе наред с първото, то ясно е, че п може да бъде употребено за тази цел само когато то притежава минималната величина, необходима за такова предприятие. Ако п трябва да бъде употребено за разширяване на първоначалното предприятие, то все пак отношенията на веществените фактори на Пр и отношенията на тяхната стойност изискват определена минимална величина на п. Между всички средства за производство, действащи в това предприятие, съществува не само известно качествено, но и определено количествено съотношение, известна пропорционалност на размерите. Тези веществени отношения и свързаните с тях стойностни отношения на факторите, влизащи в производителния капитал, определят онзи минимален размер, който п трябва да притежава, за да може да се превърне, като прираст на производителния капитал, в допълнителни средства за производство и допълнителна работна сила или само в първите. Така притежателят на предачно предприятие не може да увеличи броя на своите вретена, ако същевременно не се сдобие със съответните машини за чепкане и разбиване, да не говорим за увеличените разходи за памук и работна заплата, обуславяни от такова разширяване на предприятието. Следователно, за да се осъществи последното, принадената стойност трябва вече да съставлява порядъчна сума (обикновено новите разходи се изчисляват на 1 ф. ст. на ново вретено). Докато п не достигне тези минимални размери, капиталът трябва няколко пъти да повтори кръгооборота, преди сумата на последователно произведените от него п да получи възможност да функционира заедно с П, следователно в П'-С'<РСп. Дори прости изменения в детайлите, например в предачните машини, доколкото ги правят по-производителни, изискват по-голям разход на предачен материал, увеличаване мощността на машините за обработване на памука преди преденето и т. н. Следователно междувременно се натрупва п и неговото натрупване представлява не неговата собствена функция, а резултат от повтарянето на Пр...Пр . Неговата собствена функция е да се намира в състояние на пари, докогато то не получи благодарение на повторните кръгообороти на нарастване на стойността — следователно отвън — достатъчно прираст, при който то достига минималната величина, необходима за неговото активно функциониране: величината, само при която то може да вземе участие във функционирането на паричния капитал П — да вземе участие като паричен капитал, в дадения случай като натрупана част на функциониращия паричен капитал П. В междинния период п се натрупва и съществува само във формата на съкровище, намиращо се в процес на образуване, на растеж. Следователно натрупването на пари, образуването на съкровище тук е процес, който временно придружава действителното натрупване, разширяването на мащаба, в който действа промишленият капитал. Придружава го временно, преходно, защото, докато съкровището остава в състояние на съкровище, то не функционира като капитал, не взема участие в процеса на нарастването на стойността, остава парична сума, която нараства само защото получаваните без нейно съдействие пари се трупат в същия сандък.
Формата на съкровище е просто форма на пари, които не се намират в обръщение, пари, обръщението на които е прекъснато и които поради това се съхраняват в своята парична форма. Що се отнася до самия процес на образуване на съкровище, той е свойствен на всяко стоково производство, а като самоцел играе роля само в неразвитите докапиталистически форми на това производство. Но в нашия случай съкровището се явява като форма на паричния капитал, а образуването на съкровище — като процес, който временно придружава натрупването на капитала, защото и доколкото парите фигурират тук като скрит паричен капитал; защото образуването на съкровище — съхраняването в състояние на съкровище онази принадена стойност, която се намира в парична форма — представлява тук протичащ вън от кръгооборота на капитала, функционално определен подготвителен стадий към превръщането на принадената стойност в действително функциониращ капитал. Следователно поради това свое предназначение това е скрит паричен капитал; поради което и размерът, който трябва да достигне съкровището, за да влезе в процеса, всякога се определя от стойностния състав на производителния капитал. Но докогато парите остават в положение на съкровище, те още не функционират като паричен капитал, представляват неизползван паричен капитал; не както преди прекъснат в своята функция, а още неспособен за своята функция.
Ние вземаме тук натрупването на пари в неговата първоначална реална форма, като действително парично съкровище. Но то може да съществува и само във форма на авоари, вземания на капиталиста, който е продал С. Колкото се отнася до другите форми, когато скритият паричен капитал и в междинния период съществува във вид на пари, раждащи пари, например като лихвоносни депозити в някоя банка, в менителници или какъвто и да било вид ценни книжа, то тези форми не се отнасят тук. В такъв случай принадената стойност, реализирана в пари, изпълнява особени функции на капитала вън от кръгооборота на онзи промишлен капитал, от който тя е произлязла: функции, които, първо, нямат нищо общо с кръгооборота на този капитал като такъв и, второ, предполагат функции на капитала, различни от функциите на промишления капитал, които тук още не са разгледани.
IV. РЕЗЕРВЕН ФОНД
Съкровището в току-що разгледаната форма, в която съществува принадената стойност, представлява паричен фонд на натрупването, паричната форма, която натрупването на капитала временно приема и която дотолкова сама служи като условие на последното. Но този фонд на натрупването може да оказва и отделни странични услуги, т. е. да влиза в процеса на кръгооборота на капитала, без да приема формата на Пр...Пр' и следователно без да разширява капиталистическото възпроизводство.
Ако процесът С'—П' се удължава повече от нормалното и следователно превръщането на стоковия капитал в парична форма ненормално се забавя или ако, след като това превръщане е станало, цената например на средствата за производство, в които трябва да се превърне паричният капитал, се покачва по-високо от равнището, което е съществувало при началото на кръгооборота, то съкровището, функциониращо като фонд на натрупването, може да бъде употребено, за да заеме мястото на паричния капитал или на част от него. Следователно паричният фонд на натрупването служи като резервен фонд, за да изглажда нарушенията на кръгооборота.
Като такъв резервен фонд той се отличава от фонда на покупателните и платежните средства, разгледани в кръгооборота Пр...Пр. Тези средства представляват част от функциониращия паричен капитал (следователно форми на съществуването на известна част от капиталовата стойност, изобщо заета в процеса), чиито части започват да функционират само една след друга, в различни срокове. В непрекъснатия ход на производствения процес постоянно се образува резервен паричен капитал, тъй като днес например постъпили плащания ще трябва едва по-късно да се извършат, днес са продадени големи маси стока, а покупка на големи маси стока ще трябва да се направи едва през по-късни дни; следователно в тези промеждутъци една или друга част от оборотния капитал постоянно се намира в парична форма. Напротив, резервният фонд не е съставна част от функциониращия вече капитал, по-точно от паричния капитал, а от капитал, който се намира в подготвителен стадий на своето натрупване, от принадена стойност, която още не се е превърнала в активен капитал. Впрочем от само себе си се разбира, че при затруднение капиталистът съвсем не пита какви определени функции играят намиращите се в негови ръце пари, а просто употребява каквото има, за да поддържа в ход процеса на кръгооборота на своя капитал. Така в нашия пример П = 422 ф. ст., П' = 500 ф. ст. Ако част от капитала 422 ф. ст. съществува като фонд от платежни и покупателни средства, като паричен запас, той е разчетен при неизменни условия изцяло да влезе в кръгооборота, а и да е достатъчен за тази цел. Но резервният фонд е част от 78 ф. ст. принадена стойност; той може да влезе в процеса на кръгооборота на капитала на стойност 422 ф. ст. само доколкото този кръгооборот се извършва при обстоятелства, неоставащи неизменни; защото той е част от фонда на натрупването и фигурира в дадения случай без разширяване на мащаба на възпроизводството.
Паричният фонд на натрупването вече представлява съществуване на скрит паричен капитал; следователно представлява превръщане на пари в паричен капитал.
Общата формула на кръгооборота на производителния капитал, обхващаща простото възпроизводство и възпроизводството в разширен мащаб, е:
Ако Пр=Пр, то П в 2) = П'—п; ако Пр = Пр', то П в 2) е по-голямо от П'—п, т. е. п изцяло или частично се е превърнало в паричен капитал.
Кръгооборотът на паричния капитал е формата, в която класическата политическа икономия разглежда процеса на кръгооборота на промишления капитал.
БЕЛЕЖКИ ПОД ЛИНИЯ
*1 - в натура. Ред.
*2 Виж настоящия том, стр. 248. Ред.
*3 Тук в ръкописа на Маркс е отбелязано: „Но всичко това се отнася към последния отдел на втората книга“. Ред.
*4 Виж настоящия том, гл. XV, пункт V. Ред.
*5 Тук в ръкописа на Маркс е отбелязано: „Против Тук“. Ред.
*6 Виж настоящия том, стр. 81. Ред.
6а) Изразът „latent“ [„скрит“] е зает от представата на физиката за скрита топлина, почти отстранена сега от теорията за превръщане на енергията. Ето защо в трети отдел (по-късна редакция) Маркс го заменя с израза „potentielles Kapital“ [„потенциален капитал“], зает от представата за потенциалната енергия: или по аналогия с виртуалните скорости на Д'Аламбер, „virtuelles Kapital“ [„виртуален капитал “]. — Ф. Е.