Marxistický internetový archiv - Česká sekce

Karel Marx
Kapitál, II. díl

Kapitola čtvrtá

Tři figury procesu koloběhu

Označuje-li Ob celkový proces oběhu, mohou být tři figury znázorněny takto:

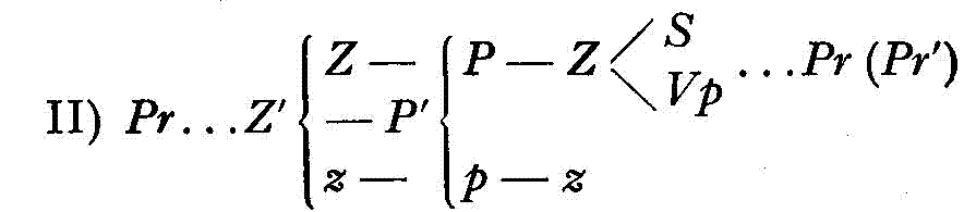
I. P — Z...Pr...Z‘ — P‘
II. Pr...Ob...Pr
III. Ob...Pr (Z‘).

Shrneme-li všechny tři formy, jeví se všechny předpoklady procesu jako jeho výsledek, jako předpoklad, který si sám vytvořil <a všechny jeho výsledky se jeví jako jeho předpoklady>. Každý moment se jeví jako výchozí bod, průchozí bod a bod návratu. Proces vzatý jako celek se jeví jako jednota výrobního procesu a procesu oběhu: výrobní proces se stává zprostředkujícím článkem procesu oběhu a naopak.

Všem třem koloběhům je společné: zhodnocení hodnoty jako určující účel, jako hybný motiv. V I je to vyjádřeno ve formě samé. Forma II začíná Pr, zhodnocovacím procesem samým. V III začíná koloběh zhodnocenou hodnotou a končí nově zhodnocenou hodnotou, i když se pohyb opakuje v nezměněném měřítku.

Pokud je Z — P pro kupce P — Z a P — Z pro prodavače Z — P, představuje oběh kapitálu jen obyčejnou metamorfosu zboží, a zákony určující množství obíhajících peněz, které jsme při tom vyvodili (kniha I, kap. III, 2), si tu uchovávají svůj význam. Nemáme-li však zůstat u této formální stránky věci, nýbrž zkoumat reálnou souvislost mezi metamorfosami různých individuálních kapitálů, tedy v podstatě souvislost koloběhů individuálních kapitálů jako souvislost dílčích pohybů v procesu reprodukce celkového společenského kapitálu, nelze tuto souvislost vysvětlit prostým střídáním forem peněz a zboží.

V ustavičně rotujícím kruhu je každý bod zároveň výchozím bodem i bodem návratu. Je-li rotace přerušena, pak není každý výchozí bod bodem návratu. Tak jsme viděli, že nejen každý jednotlivý koloběh předpokládá (implicite) druhý, nýbrž také, že opakování koloběhu v jedné formě předpokládá koloběh v ostatních formách. Tak se ukazuje celý rozdíl jako čistě formální nebo dokonce jako čistě subjektivní rozdíl, existující jen pro pozorovatele.

Pokud zkoumáme každý z těchto koloběhů jako zvláštní formu pohybu, v níž jsou různé individuální průmyslové kapitály, potud také tento rozdíl existuje vždy jen jako rozdíl individuální. Ve skutečnosti je však každý individuální průmyslový kapitál ve všech třech kolobězích najednou. Tři koloběhy, formy reprodukce tří podob kapitálu, probíhají nepřetržitě vedle sebe. Tak se na př. jedna část kapitálové hodnoty, fungující nyní jako zbožní kapitál, přeměňuje v peněžní kapitál, ale jiná část současně vychází z výrobního procesu a vstupuje do oběhu jako nový zbožní kapitál. Tak se ustavičně opisuje kruhová forma Z‘...Z‘; totéž platí i o dvou druhých formách. Reprodukce kapitálu v každé z jeho forem a v každém z jeho stadií se uskutečňuje právě tak nepřetržitě jako metamorfosa těchto forem a postupné procházení třemi stadii. Celkový koloběh je tu tedy skutečnou jednotou svých tří forem.

Ve svém zkoumání jsme předpokládali, že celá kapitálová hodnota ve svém plném rozsahu vystupuje jednou jako peněžní kapitál, podruhé jako produktivní kapitál, jindy jako zbožní kapitál. Tak jsme měli na př. 422 libry št. zprvu celé jako peněžní kapitál, pak se tyto 422 libry št. opět v celém svém rozsahu přeměnily v produktivní kapitál, a nakonec se staly zbožním kapitálem: přízí v hodnotě 500 liber št. (včetně 78 liber št. nadhodnoty). Různá stadia zde tvoří stejné množství přeryvů. Pokud na př. 422 libry št. dále setrvávají v peněžní formě, t. j. dokud se neuskuteční akty koupě P — Z (S + Vp), existuje a funguje celý kapitál jen jako peněžní kapitál. Jakmile se však přemění v produktivní kapitál, nefunguje již ani jako peněžní kapitál, ani jako zbožní kapitál. Celý proces jeho oběhu se přerušuje, stejně jako se na druhé straně přerušuje celý jeho výrobní proces, když — jako P nebo jako Z‘ — funguje v jednom z dvou stadií oběhu. V tomto případě by tedy koloběh Pr...Pr představoval nejen periodické obnovování produktivního kapitálu, nýbrž i přerušení jeho funkce — výrobního procesu — na tak dlouho, dokud neproběhne proces oběhu; místo aby se uskutečňovala nepřetržitě, probíhala by výroba skoky a obnovovala by se jen po neurčitě dlouhých mezidobích podle toho, jak rychle nebo pomalu probíhají dvě stadia procesu oběhu. Tak je tomu na př. u čínského řemeslníka, který pracuje jen pro soukromé zákazníky a přerušuje výrobní proces, dokud nepřijde nová objednávka.

Ve skutečnosti platí to, co bylo řečeno, pro každou jednotlivou část kapitálu, která je v pohybu, a tímto pohybem postupně procházejí všechny části kapitálu. Na př. 10.000 liber příze představuje výrobek přádelníka za týden. Celých těchto 10.000 liber příze vychází ze sféry výroby a vstupuje do sféry oběhu; kapitálová hodnota v nich obsažená se musí celá přeměnit v peněžní kapitál a pokud setrvává ve formě peněžního kapitálu, nemůže znovu vejít do výrobního procesu; musí napřed vstoupit do oběhu a znovu se přeměnit v prvky produktivního kapitálu S + Vp. Proces koloběhu kapitálu je neustálé přerušování, opouštění jednoho stadia a vstupování do dalšího stadia; odkládání jedné formy a existence v druhé formě; každé z těchto stadií nejen podmiňuje druhé, nýbrž je zároveň i vylučuje.

Ale nepřetržitost je charakteristickým znakem kapitalistické výroby; je podmíněna jejím technickým základem, třebaže ne vždy bezpodmínečně dosažitelná. Podívejme se tedy, jak se věc děje ve skutečnosti. Zatím co na př. 10.000 liber příze vstoupí jako zbožní kapitál na trh a vykonává svou přeměnu v peníze (ať jsou tyto peníze platidlem, kupním prostředkem nebo dokonce pouze počítacími penězi), zaujímá jejich místo ve výrobním procesu nová bavlna, uhlí atd.; zde se tedy už uskutečnila zpětná přeměna z peněžní a zbožní formy ve formu produktivního kapitálu, který jako takový zahajuje svou funkci; v téže době, kdy se prvních 10.000 liber příze přeměňuje v peníze, prochází dříve vyrobených 10.000 liber příze už druhým stadiem svého oběhu a přeměňuje se znovu z peněz v prvky produktivního kapitálu. Všechny části kapitálu jedna po druhé procházejí procesem koloběhu, jsou současně v jeho různých stadiích. Tak je průmyslový kapitál při svém nepřetržitém koloběhu současně ve všech stadiích tohoto koloběhu a jim odpovídajících různých funkčních formách. Pro tu část, která se po prvé přeměňuje ze zbožního kapitálu v peníze, se zahajuje koloběh Z‘...Z‘, kdežto pro průmyslový kapitál jako pro celek, který je v pohybu, už koloběh Z‘...Z‘ proběhl. Jednou rukou se peníze zálohují, druhou se berou; počátek koloběhu P...P‘ v jednom bodě je zároveň návratem peněz v druhém bodě. Stejně tomu je i s produktivním kapitálem.

Skutečný koloběh průmyslového kapitálu ve své nepřetržitosti je tedy nejen jednota procesu oběhu a výrobního procesu, nýbrž i jednota všech jeho tří koloběhů. Takovou jednotou může však být jen potud, pokud každá z různých částí kapitálu může postupně procházet po sobě následujícími fázemi koloběhu a přecházet z jedné fáze, z jedné funkční formy do druhé; pokud je tedy průmyslový kapitál jako souhrn těchto částí současně v různých fázích a funkcích, a tak současně opisuje všechny tři koloběhy. To, že jedna část následuje za druhou, je tu podmíněno existencí částí vedle sebe, t. j. dělením kapitálu. Tak je na př. v rozčleněné tovární soustavě výrobek ustavičně na různých stupních procesu svého tvoření a ustavičně přechází z jedné výrobní fáze do druhé. Poněvadž individuální průmyslový kapitál představuje určitou veličinu, která je závislá na prostředcích kapitalisty a je pro každé průmyslové odvětví určena určitým minimem, musí být při jeho dělení zachovány určité číselné proporce. Velikost daného kapitálu podmiňuje rozsah výrobního procesu, ten zase rozsah zbožního a peněžního kapitálu, pokud fungují vedle výrobního procesu. Současná existence různých částí kapitálu, kterou je podmíněna nepřetržitost výroby, je však možná jen na základě pohybu částí kapitálu, při němž jedna za druhou procházejí různými stadii koloběhu. Sama existence jedněch částí kapitálu vedle druhých je jen výsledkem toho, že následují po sobě. Tak na př. zastaví-li se pohyb Z‘ — P‘ pro jednu část a zboží nelze prodat, je koloběh této části přerušen, a tato část se nenahrazuje jejími výrobními prostředky. Funkční změna následujících částí, které vycházejí jako Z‘ z výrobního procesu, je znemožněna jejich předchůdci. Trvá-li takový stav nějakou dobu, omezuje se výroba a celý proces se zastavuje. Každé zastavení postupného pohybu částí porušuje pořádek jejich existence vedle sebe; každé váznutí v jednom stadiu má za následek větší či menší váznutí v celém koloběhu nejen té části kapitálu, jejíž pohyb se zastavil, nýbrž i v koloběhu celého individuálního kapitálu.

Další forma, kterou proces přijímá, je forma postupnosti fází: přechod kapitálu do nové fáze je podmíněn tím, že kapitál opouští druhou fázi. Proto také má každý zvláštní koloběh jak za výchozí bod, tak za bod návratu jednu z funkčních forem kapitálu. Na druhé straně je proces jako celek skutečně jednota tří koloběhů, které jsou různými formami, v nichž se vyjadřuje nepřetržitost procesu. Koloběh vcelku se pro každou funkční formu kapitálu jeví jako její specifický koloběh, při čemž každý z těchto koloběhů podmiňuje nepřetržitost celého procesu: kruhový pohyb jedné funkční formy podmiňuje kruhový pohyb ostatních. Pro celkový výrobní proces, zejména pro společenský kapitál, je nutnou podmínkou, aby výrobní proces byl zároveň procesem reprodukce a tedy i procesem koloběhu každého z jejích momentů. Různé části kapitálu postupně probíhají různými stadii a funkčními formami. Díky tomu uskutečňuje každá funkční forma, ačkoli v ní nacházejí svůj výraz stále nové a nové části kapitálu, současně s ostatními svůj vlastní koloběh. Jedna část kapitálu — vždy se však měnící — se neustále reprodukuje, existuje jako zbožní kapitál, který se přeměňuje v peníze; druhá část — jako peněžní kapitál, který se přeměňuje v produktivní kapitál; třetí — jako produktivní kapitál, který se přeměňuje ve zbožní kapitál. Neustálé přítomnosti všech tří forem se dosahuje tím, že celkový kapitál ve svém koloběhu probíhá právě těmito třemi fázemi.

Jako celek je tedy kapitál současně ve svých různých fázích, prostorově rozložených vedle sebe. Ale každá část neustále přechází po pořádku z jedné fáze, z jedné funkční formy do druhé, a tak střídavě funguje ve všech formách. Tak jsou tyto formy plynulé formy, jejichž současnost je zprostředkována jejich postupností. Každá forma následuje za druhou a předchází ji, takže návrat jedné části kapitálu k jedné formě je podmíněn návratem jiné části k jiné formě. Každá část ustavičně uskutečňuje svůj vlastní oběh, ale v této formě je po každé jiná část kapitálu, a tyto zvláštní oběhy tvoří jen současné a postupné momenty celkového procesu.

Jenom v jednotě tří koloběhů se uskutečňuje nepřetržitost celého procesu místo výše vylíčeného přerušování. Všechen společenský kapitál, vzatý jako celek, má vždy tuto nepřetržitost a jeho proces vždy představuje jednotu tří koloběhů.

Pro individuální kapitály se nepřetržitost reprodukce někdy více méně porušuje. Předně bývají masy hodnoty často v různých obdobích rozděleny na různá stadia a funkční formy v nestejných částech. Za druhé se tyto části mohou různě rozdělovat podle povahy zboží, které má být vyrobeno, tedy podle zvláštní sféry výroby, do níž je kapitál vložen. Za třetí může být nepřetržitost v takových výrobních odvětvích, která závisí na roční době, ve větším či menším stupni porušována — ať už následkem přírodních podmínek (zemědělství, lov sleďů atd.), ať následkem konvenčních okolností, jako na př. při tak zvaných sezónních pracích. Nejpravidelněji a nejstejnoměrněji probíhá proces v továrně a v hornictví. Ale tato rozdílnost výrobních odvětví nevede k rozdílnosti ve všeobecných formách procesu koloběhu.

Kapitál jako zhodnocující se hodnota zahrnuje nejen třídní poměry, nejen určitý charakter společnosti, založený na tom, že práce existuje jako námezdní práce. Kapitál je pohyb, proces koloběhu procházející různými stadii a sám zase obsahující tři různé formy procesu koloběhu. Proto může být kapitál chápán jen jako pohyb, a ne jako věc setrvávající v klidu. Ti, kdož se dívají na osamostatnění hodnoty jen jako na abstrakci, zapomínají, že pohyb průmyslového kapitálu je tato abstrakce in actu [v činnosti]. Hodnota tu prochází třemi různými formami, uskutečňuje různé pohyby, v nichž se uchovává a zároveň zhodnocuje, zvětšuje. Poněvadž tu máme především co činit s pouhou formou pohybu, nebudeme zkoumat revoluce, ke kterým může u kapitálové hodnoty dojít v procesu jejího koloběhu; ale je jasné, že přes všechny revoluce v hodnotě kapitalistická výroba existuje a může existovat jen dotud, dokud se kapitálová hodnota zhodnocuje, t. j. dokud jako osamostatněná hodnota uskutečňuje proces svého koloběhu; tedy dotud, dokud se revoluce, kterým podléhá hodnota, tím či oním způsobem překonávají a neutralisují. Pohyby kapitálu se projevují jako akce jednotlivého průmyslového kapitalisty tak, že funguje jako kupec zboží a práce, jako prodavač zboží, jako produktivní kapitalista, a tedy svou činností zprostředkuje koloběh. Dochází-li k revoluci v hodnotě společenského kapitálu, může se stát, že individuální kapitál daného kapitalisty jí podlehne a zanikne, poněvadž není s to přizpůsobit se podmínkám této změny hodnoty. Čím akutnějšími a častějšími se stávají revoluce v hodnotě, tím více se prosazuje automatický, se silou živelného přírodního procesu působící pohyb osamostatněné kapitálové hodnoty proti opatrnosti a výpočtům jednotlivého kapitalisty, tím více se průběh normální výroby podrobuje nenormální spekulaci, tím většímu nebezpečí je vystavena existence jednotlivých kapitálů. Tak tyto periodické revoluce v hodnotě potvrzují to, co by domněle měly vyvrátit, to jest to, že hodnota jako kapitál nabývá samostatné existence, kterou si udržuje a upevňuje svým pohybem.

Tento sled metamorfos kapitálu, který je v pohybu, zahrnuje neustálé srovnávání změn ve velikosti hodnoty kapitálu, nastalých v koloběhu, s původní hodnotou. Začíná-li osamostatňování hodnoty vzhledem k hodnototvorné síle, pracovní síle, v aktu P — S (koupě pracovní síly) a uskutečňuje se ve výrobním procesu jako vykořisťování pracovní síly, neprojevuje se toto osamostatnění hodnoty znovu v tom koloběhu, v němž jsou peníze, zboží a výrobní prvky jen střídajícími se formami kapitálové hodnoty uskutečňující proces pohybu, v němž se dřívější velikost hodnoty srovnává s nynější změněnou velikostí hodnoty kapitálu.

„Hodnota,“ praví Bailey, aby vyvrátil to, že hodnota nabývá samostatné existence, která charakterisuje kapitalistický výrobní způsob a kterou on, Bailey, vykládá jako ilusi určitých ekonomů, „hodnota je vzájemný poměr mezi současně existujícími zbožími, poněvadž jen taková zboží je možno navzájem směňovat.“ Uvádí to jako důvod proti srovnávání zbožních hodnot v různých obdobích, srovnávání, které znamená — je-li hodnota peněz pro každou epochu přesně dána — jen srovnání nákladů práce, které je třeba v různých obdobích k výrobě jednoho a téhož druhu zboží. Toto mínění vyvěrá z jeho všeobecně nesprávné představy, že směnná hodnota = hodnota a forma hodnoty je hodnota sama; že tedy nelze zbožní hodnoty srovnávat, nefungují-li aktivně jako směnné hodnoty, t. j. není-li je možno skutečně navzájem směňovat. Netuší tedy ani zdaleka, že hodnota funguje jako kapitálová hodnota čili jako kapitál jen do té míry, nakolik v různých fázích svého koloběhu — které se časově vůbec nekryjí, nýbrž jdou po sobě — zůstává totožná se sebou samou a se sebou samou se srovnává.

Abychom prostudovali vzorec koloběhu v jeho čisté podobě, je třeba vycházet nejen z předpokladu, že se zboží prodává za svou hodnotu, ale i z toho, že se tak děje za jinak nezměněných podmínek. Vezměme na př. formu Pr...Pr nezávisle na různých revolucích v technice výrobního procesu, které mohou znehodnotit produktivní kapitál určitého kapitalisty; rovněž nezávisle na jakémkoli zpětném vlivu, který může mít změna prvků hodnoty produktivního kapitálu na hodnotu daného zbožního kapitálu, při čemž se tato hodnota může zvětšit nebo zmenšit, je-li tu zásoba takového kapitálu. Nechť je Z‘, 10.000 liber příze, prodáno za svou hodnotu 500 liber št.; 8440 liber příze = 422 librám št. nahrazuje kapitálovou hodnotu obsaženou v Z‘. Stoupla-li však hodnota bavlny, uhlí atd. (nepřihlížíme zde k pouhému kolísání cen), nestačí možná tyto 422 libry št. k tomu, aby plně nahradily prvky produktivního kapitálu; je nutný dodatečný peněžní kapitál — peněžní kapitál se váže. Naopak, klesají-li tyto ceny — peněžní kapitál se uvolňuje. Zcela normálně probíhá proces jen tehdy, zůstávají-li poměry hodnot stálé; fakticky se uskutečňuje normálně jen dotud, dokud se poruchy v opakování koloběhu vyrovnávají; čím větší jsou poruchy, tím větší peněžní kapitál musí průmyslový kapitalista mít, aby mohl počkat, až se zmírní; a poněvadž se tou měrou, jak se rozvíjí kapitalistická výroba, rozšiřují měřítka každého individuálního výrobního procesu a spolu s tím roste i minimální velikost zálohovaného kapitálu, přistupuje tato okolnost k řadě ostatních, které činí funkci průmyslového kapitalisty stále více monopolem velkých peněžních kapitalistů, jednotlivých nebo sdružených.

Mimochodem poznamenáme, že dojde-li ke změně hodnoty výrobních prvků, ukazuje se rozdíl mezi formou P...P‘ na jedné straně a formou Pr...Pr a Z‘...Z‘ na druhé straně.

V P...P‘ jako ve vzorci nově vloženého kapitálu, který zprvu vystupuje jako peněžní kapitál, bude při poklesu hodnoty výrobních prostředků, jako na př. surovin, pomocných látek atd., k otevření podniku určitého rozsahu zapotřebí menšího vynaložení peněžního kapitálu než před poklesem, protože rozsah výrobního procesu (při neměnící se úrovni vývoje výrobních sil) závisí na mase a rozsahu výrobních prostředků, které může dané množství pracovní síly zvládnout; tento rozsah však nezávisí ani na hodnotě výrobních prostředků, ani na hodnotě pracovní síly (ta má vliv pouze na velikost zhodnocení). Naopak, zvýší-li se hodnota těch prvků výroby zboží, které jsou prvky produktivního kapitálu, je k založení podniku daného rozsahu zapotřebí víc peněžního kapitálu. V obou případech je dotčena jen velikost peněžního kapitálu, který se musí znovu vložit; v prvním případě peněžní kapitál přebývá, v druhém se peněžní kapitál váže, probíhá-li v daném odvětví výroby obvyklým způsobem přírůstek nových individuálních průmyslových kapitálů.

Koloběhy Pr...Pr a Z‘...Z‘ se jeví jako P...P‘ jen potud, pokud je pohyb Pr a Z‘ zároveň akumulací, tedy pokud se dodatečné p, peníze, přeměňuje v peněžní kapitál. Ale nepřihlíží-li se k tomu, odráží se na nich změna hodnoty prvků produktivního kapitálu jinak než na P...P‘; opět tu nemáme na mysli zpětný vliv, který má taková změna hodnoty na součásti kapitálu, jež jsou ve výrobním procesu. Bezprostřednímu vlivu v tomto případě nepodléhá původní výdaj, nýbrž průmyslový kapitál, který je v procesu své reprodukce, a ne ve svém prvním koloběhu; vliv se tedy projevuje na Z‘...S a Vp, na zpětnou přeměnu zbožního kapitálu v prvky jeho výroby, pokud je tvoří zboží. Při poklesu hodnoty (resp. při poklesu cen) jsou možné tři případy: proces reprodukce pokračuje v témž rozsahu; pak se uvolňuje část dosavadního peněžního kapitálu a dochází k nahromadění peněžního kapitálu, aniž dochází ke skutečné akumulaci (výrobě v rozšířeném měřítku) nebo k přeměně p (nadhodnoty) v akumulační fond, která ji připravuje a provází; nebo dovolí-li to technické proporce, rozšiřuje se měřítko procesu reprodukce více, než by tomu bylo za dřívějších podmínek; nebo se tvoří větší zásoby surovin atd.

Stoupá-li hodnota prvků nahrazujících zbožní kapitál, dochází k opaku. Reprodukce se pak už neuskutečňuje ve svém normálním rozsahu (pracuje se na př. kratší dobu); nebo, aby mohla pokračovat v dřívějším rozsahu, musí nastoupit dodatečný peněžní kapitál (peněžní kapitál se váže); nebo akumulační peněžní fond, je-li nějaký, slouží celý nebo zčásti nikoli k rozšíření procesu reprodukce, ale k jeho udržení v dosavadním měřítku. Zde se peněžní kapitál také váže, jenže s tím rozdílem, že se v daném případě dodatečný peněžní kapitál nebere zvenčí, z peněžního trhu, nýbrž z prostředků průmyslového kapitalisty samého.

Ale při Pr...Pr, Z‘...Z‘ mohou nastat okolnosti, které přinášejí tu či onu zrněnu. Tak má-li na př. náš továrník-přádelník velkou zásobu bavlny (t. j. značná část jeho produktivního kapitálu je ve formě zásoby bavlny), znehodnocuje se část jeho produktivního kapitálu poklesem cen bavlny; naopak stoupnou-li ceny, stoupne hodnota této části jeho produktivního kapitálu. Na druhé straně, vázal-li velké masy hodnot ve formě zbožního kapitálu, na př. v bavlněné přízi, znehodnocuje se při poklesu ceny bavlny část jeho zbožního kapitálu, tedy vůbec část jeho kapitálu, který je v koloběhu; při vzestupu ceny bavlny dochází k opaku. Konečně v procesu Z‘ — P — S a Vp dochází k tomuto: odehrál-li se akt Z‘ — P, realisace zbožního kapitálu, před změnou hodnoty prvků Z, dotkne se to kapitálu jen tak, jak bylo ukázáno v prvním případě, totiž v druhém aktu oběhu P — S a Vp; dojde-li k tomu před procesem Z‘ — P, má při jinak stejných podmínkách pokles ceny bavlny za následek odpovídající pokles ceny příze, a naopak, zvýšení ceny bavlny má za následek vzestup ceny příze. Účinek na různé jednotlivé kapitály, vložené do téhož výrobního odvětví, může být velice různý podle různých okolností, v nichž jsou. K uvolňování a vázání peněžního kapitálu může právě tak docházet na základě rozdílů v délce procesu oběhu, tedy také na základě rozdílů v rychlosti oběhu. To však už patří ke studiu obratu. Nás tu zajímá jen skutečný rozdíl mezi P...P‘ a oběma druhými formami procesu koloběhu, který se ukazuje pokud jde o změnu hodnoty prvků produktivního kapitálu.

V epoše už rozvinutého, tudíž vládnoucího kapitalistického výrobního způsobu se v úseku oběhu P — S a Vp velká část zboží, z nichž se skládá Vp — výrobní prostředky, sama stává cizím zbožním kapitálem, plnícím svou funkci. S hlediska prodavače tu tedy dochází k Z‘ — P‘, k přeměně zbožního kapitálu v peněžní kapitál. Ale to neplatí absolutně. Naopak. V procesu svého oběhu, v němž průmyslový kapitál funguje buď jako peníze, nebo jako zboží, křižuje se koloběh průmyslového kapitálu — ať už vystupuje jako peněžní kapitál nebo jako zbožní kapitál — s oběhem zboží, vyrobených za nejrozmanitějších způsobů společenské výroby, pokud jsou tyto výrobní způsoby zároveň zbožní výrobou. Ať jsou zboží produktem výroby založené na otroctví nebo produktem výroby rolníků (Číňané, indičtí rájati), občinové výroby (holandská Východní Indie), státní výroby (jako výroba založená na nevolnictví, vyskytující se v dřívějších epochách ruských dějin) nebo výroby polodivokých loveckých národů atd. — to je lhostejné: vůči penězům a zbožím, v nichž se zračí průmyslový kapitál, vystupují jako zboží a peníze a vcházejí do koloběhu tohoto průmyslového kapitálu i do koloběhu nadhodnoty obsažené ve zbožním kapitálu, pokud se tato nadhodnota vydává jako důchod — vcházejí tedy do obou větví oběhu zbožního kapitálu. Na charakteru výrobního procesu, jehož výsledkem tato zboží jsou, nezáleží; jako zboží fungují na trhu a jako zboží vstupují do koloběhu průmyslového kapitálu, stejně jako do oběhu nadhodnoty v něm obsažené. Proto všestranná povaha jejich původu, existence trhu jako světového trhu — toť charakteristický rys procesu oběhu průmyslového kapitálu. Co bylo řečeno o cizích zbožích, platí v téže míře i o cizích penězích; jako zbožní kapitál vystupuje vůči penězům jen jako zboží, tak také fungují tyto peníze vůči němu jen jako peníze; peníze tu fungují jako světové peníze.

Zde je však třeba se zmínit o okolnostech dvojího druhu.

Předně. Jakmile je vykonán akt P — Vp, přestávají být zboží (Vp) zbožími a stávají se jedním ze způsobů existence průmyslového kapitálu v jeho funkční formě Pr, produktivního kapitálu. Tím však mizí stopy jejich původu; zboží existují dále jen jako formy existence průmyslového kapitálu, jsou mu přivtělena. Avšak přitom zůstává v platnosti, že k jejich nahrazení je nutná jejich reprodukce, a potud je kapitalistický výrobní způsob podmíněn výrobními způsoby, které jsou v jiném vývojovém stadiu než on. Tendencí kapitalistického výrobního způsobu však je přeměnit pokud možno každou výrobu ve zbožní výrobu; hlavním prostředkem k tomu je právě vtahování těchto výrobních způsobů do jeho procesu oběhu; a vyvinutá zbožní výroba sama už je kapitalistickou zbožní výrobou. Pronikání průmyslového kapitálu všude urychluje tuto přeměnu, s ní však také přeměnu všech bezprostředních výrobců v námezdní dělníky.

Za druhé. Zboží, která vcházejí do procesu oběhu průmyslového kapitálu (sem patří i nutné životní prostředky, v něž se přeměňuje variabilní kapitál za účelem reprodukce pracovní síly, když byl vyplacen dělníkům), ať je jejich původ jakýkoli a ať je společenská forma výrobního procesu, který je vytvořil, jakákoli, vystupují vůči průmyslovému kapitálu samému už ve formě zbožního kapitálu, zbožně obchodního neboli kupeckého kapitálu; ten však už přímo svou povahou zahrnuje zboží, vyrobená za různých výrobních způsobů.

Jako předpokládá kapitalistický výrobní způsob velký rozsah výroby, tak také nutně předpokládá i velký rozsah odbytu, tedy prodej zboží obchodníkovi, nikoli jednotlivým spotřebitelům. Pokud je sám tento spotřebitel produktivním spotřebitelem, t. j. průmyslovým kapitalistou, pokud tedy průmyslový kapitál jednoho výrobního odvětví dodává druhému výrobnímu odvětví výrobní prostředky, dochází (ve formě objednávky atd.) také k bezprostřednímu prodeji zboží jednoho průmyslového kapitalisty mnoha jiným průmyslovým kapitalistům. Každý průmyslový kapitalista je po této stránce přímým prodavačem, je sám svým obchodníkem, jímž je ostatně i při prodeji zboží obchodníkovi.

Za kapitalistické výroby se předpokládá jakožto funkce kupeckého kapitálu zbožní obchod a tento obchod se rozvíjí stále více s rozvojem této výroby. Předpokládáme jej tedy při ilustraci jednotlivých stránek kapitalistického procesu oběhu; avšak při všeobecném rozboru kapitalistického procesu oběhu předpokládáme přímý prodej bez prostřednictví obchodníka, poněvadž prostřednictví obchodníka zastírá různé momenty pohybu.

Podívejme se na Sismondiho, který líčí věc poněkud naivně:

„Obchod rovněž používá značného kapitálu, který se na první pohled nezdá částí toho kapitálu, o jehož pohybu jsme psali výše. Hodnota sukna, které plní sklady obchodníka se suknem, se zdá čímsi odlišným od té části roční výroby, kterou dává bohatý chudákovi jako mzdu, aby pracoval. Zatím však obchodní kapitál stále nahrazuje onen kapitál, o němž jsme dosud mluvili. Abychom co nejlépe objasnili vývoj bohatství, prozkoumali jsme tento vývoj od jeho [bohatství] vzniku až k jeho spotřebě. Kapitál, použitý na př. ve výrobě sukna, jevil se nám vždy týž; směněn za důchod spotřebitele, dělí se na dvě části: jedna z nich ve formě zisku tvoří důchod podnikatele, druhá jako mzda za dobu, kdy dělníci vyráběli sukno, tvoří důchod dělníka.

Obecný zájem však jasně vyžadoval, aby se různé části tohoto kapitálu při vykonávání určitých funkcí navzájem nahrazovaly a aby, stačí-li k realisaci celého zbožního oběhu mezi továrníkem a spotřebitelem sto tisíc écu, aby se těchto sto tisíc écu rozdělilo stejným dílem mezi továrníka, velkoobchodníka a maloobchodníka. První může nyní s třetinou kapitálu vyrobit totéž množství zboží, jaké dříve vyrobil s celým kapitálem, neboť nyní, ve chvíli, kdy je výrobek hotov a potřebuje být co nejrychleji prodán, najde se obchodník jako kupec mnohem spíše, než by se našel kupec mezi bezprostředními spotřebiteli. Kapitál velkoobchodníka se mnohem rychleji nahrazuje kapitálem maloobchodníka... Rozdíl mezi sumou zálohované mzdy a kupní cenou, kterou platí poslední spotřebitel, tvoří zisk z kapitálu. Od dob, co se tyto funkce oddělily, dělí se zisk mezi továrníka, velkoobchodníka a maloobchodníka. Ukazují se tytéž výsledky, třebaže nyní se záležitosti účastní tři osoby a kapitál trojího druhu.“ („Nouveaux Principes“, I, str. 159, 160.)— „Všichni“ {obchodníci} „nepřímo spolupůsobí při výrobě, neboť výroba, majíc za cíl spotřebu, může být považována za dokončenou teprve tehdy, když je vyrobená věc dovedena až k spotřebiteli.“ (Tamtéž, str. 157.)

Při zkoumání všeobecných forem koloběhu a vůbec v celé této druhé knize rozumíme penězi kovové peníze a ponecháváme stranou jak symbolické peníze, pouhé známky hodnoty, které jsou jen specialitou určitých států, tak úvěrové peníze, o nichž jsme ještě nepojednávali. Tento postup zkoumání odpovídá předně historické postupnosti; úvěrové peníze nehrají v počátečním období kapitalistické výroby vůbec žádnou nebo jen nepatrnou úlohu. Za druhé je nutnost takového postupu zkoumání theoreticky zdůvodněna tím, že všechna kritická zkoumání oběhu úvěrových peněz, jež dosud provedl Tooke a jiní, nutila je vracet se znovu a znovu ke zkoumání toho, jak by se věc jevila na podkladě čistě kovového oběhu. Nesmíme však zapomínat, že kovové peníze mohou fungovat jako kupní prostředek i jako platidlo. Pro zjednodušení je vůbec bereme v této II. knize jen v první funkční formě.

Proces oběhu průmyslového kapitálu, který tvoří jen část procesu jeho individuálního koloběhu, je určen, pokud představuje jen řadu aktů v mezích všeobecného zbožního oběhu, všeobecnými zákony, jež byly probrány dříve (kniha I, kapitola III). Totéž množství peněz, na př. 500 liber št., uvádí postupně do oběhu tím více průmyslových kapitálů (nebo — což je totéž — individuálních kapitálů v jejich formě zbožních kapitálů), čím rychlejší je oběh peněz, tedy čím rychleji každý jednotlivý kapitál proběhne řadou svých zbožních nebo peněžních metamorfos. Proto potřebuje táž masa kapitálové hodnoty ke svému oběhu tím méně peněz, čím více fungují peníze jako platidlo, tedy čím více se musí při nahrazování na př. zbožního kapitálu jeho výrobními prostředky platit pouze bilance, a čím kratší jsou platební lhůty, na př. při vyplácení mzdy. Na druhé straně, za předpokladu, že se rychlost oběhu a všechny ostatní okolnosti nemění, je množství peněz, které musí obíhat jako peněžní kapitál, určeno sumou cen zboží (cenou násobenou množstvím zboží) nebo, jsou-li množství a hodnoty zboží dány, hodnotou peněz samých.

Ale zákony všeobecného oběhu zboží platí jen potud, pokud je proces oběhu kapitálu řadou prostých aktů oběhu, ale neplatí, tvoří-li tyto akty funkčně určené etapy koloběhu individuálních průmyslových kapitálů.

Abychom to vysvětlili, učiníme nejlépe, prozkoumáme-li proces oběhu v jeho nepřetržité souvislosti, jak se jeví ve dvou formách:









Jako řada aktů oběhu vůbec představuje proces oběhu (ať jako Z — P — Z nebo jako P — Z — P) jen dvě protikladné řady metamorfos zboží, z nichž opět každá jednotlivá metamorfosa představuje protikladnou metamorfosu cizího zboží nebo cizích peněz, stojících proti danému zboží.

To, co je na straně majitele zboží aktem Z — P, je na straně kupujícího aktem P — Z; první metamorfosa jednoho zboží v Z—P je druhou metamorfosou jiného zboží, vystupujícího jako P; v P — Z je tomu opačně. To, co jsme ukázali o proplétání metamorfosy zboží v jednom jejím stadiu s metamorfosou jiného zboží v jiném stadiu, platí tedy i pro oběh kapitálu, pokud kapitalista funguje jako kupec a prodavač zboží, a jeho kapitál proto funguje jako peníze stojící proti cizímu zboží nebo jako zboží stojící proti cizím penězům. Ale toto proplétání metamorfos zboží není zároveň výrazem proplétání metamorfos kapitálů.

Předně může P — Z (Vp), jak jsme viděli, představovat spleť metamorfos různých individuálních kapitálů. Na př. příze, zbožní kapitál továrníka — přádelníka bavlny, se zčásti nahrazuje uhlím. Část jeho kapitálu je v peněžní formě a z ní se přeměňuje ve zbožní formu, kdežto kapitál kapitalistického výrobce uhlí je ve zbožní formě, a přeměňuje se proto v peněžní formu; týž akt oběhu tu představuje protikladné metamorfosy dvou průmyslových kapitálů (patřících do různých výrobních odvětví), představuje tedy propletení řady metamorfos těchto kapitálů. Ale jak jsme viděli, Vp, v něž se přeměňuje P, nemusí být zbožním kapitálem v kategorickém smyslu tohoto slova, t. j. nemusí být funkční formou průmyslového kapitálu, zbožním kapitálem, vyrobeným kapitalistou. Je tu vždy P — Z na jedné straně a Z — P na druhé straně, ale ne vždy propletení metamorfos kapitálů. Dále P — S, koupě pracovní síly, není nikdy propletením metamorfos kapitálů, protože pracovní síla je sice zboží dělníka, ale kapitálem se stává teprve tehdy, až je prodána kapitalistovi. Na druhé straně P‘ v procesu Z‘ — P‘ nemusí být přeměněnou formou zbožního kapitálu; může vyjadřovat zpeněžené zboží pracovní sílu (mzdu) nebo zpeněžený výrobek, vyrobený samostatným dělníkem, otrokem, nevolníkem, občinou.

Ale za druhé není pro splnění funkčně určené úlohy, kterou hraje každá metamorfosa, jež se uskutečňuje v procesu oběhu individuálního kapitálu, naprosto požadavkem, aby tato metamorfosa představovala příslušnou protikladnou metamorfosu v koloběhu druhého kapitálu — ovšem za předpokladu, že celá výroba světového trhu se provozuje po kapitalisticku. Na př. v koloběhu Pr...Pr může být P‘, které přeměňuje Z‘ v peníze, na straně kupce jen jeho nadhodnotou, přeměněnou v peníze (je-li zboží spotřebním předmětem); nebo v P‘ — Z‘S a Vp (kam tedy kapitál vchází už akumulován) může P‘ pro prodavače Vp vstoupit do oběhu jeho kapitálu jen jako náhrada kapitálu, jejž zálohoval, anebo dokonce vůbec nemusí vstoupit do oběhu jeho kapitálu, oddělí-li se P‘ od tohoto kapitálu jako výdaj důchodu.

Otázka, jak se v procesu oběhu vzájemně nahrazují různé součásti celkového společenského kapitálu — jehož jsou jednotlivé kapitály jen samostatně fungujícími součástmi — tato otázka — ať jde o kapitál nebo o nadhodnotu — se tedy nevyřeší zkoumáním prostých propletení metamorfos oběhu zboží, která jsou společná oběhu kapitálu i každému jinému oběhu zboží; tuto otázku musíme zkoumat jinak. Až dosud se tato otázka odbývala frázemi, které při bližším prozkoumání neobsahují nic než neurčité představy, převzaté jedině ze zkoumání takových řetězů metamorfos, které jsou vlastní každému oběhu zboží.

*

Jednou z nejhmatatelnějších zvláštností procesu koloběhu průmyslového kapitálu, a tedy i kapitalistické výroby, je to, že na jedné straně prvky, jež tvoří produktivní kapitál, pocházejí ze zbožního trhu a musí se z něho neustále obnovovat, neustále kupovat jako zboží a že na druhé straně produkt pracovního procesu vychází z tohoto procesu jako zboží a po každé se musí znovu prodávat jako zboží. Srovnejme na př. moderního farmáře z Dolního Skotska se staromódním drobným rolníkem na pevnině. První prodává celý svůj výrobek, a musí proto nahradit na trhu všechny jeho prvky, i osivo; druhý bezprostředně spotřebovává většinu svého výrobku, co nejméně kupuje a prodává a pokud možno sám si zhotovuje nástroje, oděv atd.

Z tohoto důvodu se naturální hospodářství, peněžní hospodářství a úvěrové hospodářství stavěla proti sobě jako tři charakteristické ekonomické formy pohybu společenské výroby.

Tyto tři formy předně vůbec nepředstavují rovnocenné vývojové fáze. Tak zvané úvěrové hospodářství samo je pouze forma peněžního hospodářství, pokud obě označení vyjadřují funkce styku nebo způsoby styku mezi výrobci samými. V pokročilé kapitalistické výrobě je peněžní hospodářství už jen základem úvěrového hospodářství. Peněžní hospodářství a úvěrové hospodářství odpovídá tak jen různým vývojovým stupňům kapitalistické výroby, ale naprosto to nejsou odlišné samostatné formy styku na rozdíl od naturálního hospodářství. Stejným právem by se mohly proti těmto dvěma formám stavět jako rovnocenné různé formy naturálního hospodářství.

Za druhé: protože v kategoriích: peněžní hospodářství, úvěrové hospodářství, se nezdůrazňuje a nebere jako odlišující znak hospodářství, t. j. sám výrobní proces, nýbrž způsob styku mezi různými agenty výroby nebo výrobci, jenž tomuto hospodářství odpovídá, muselo by se totéž učinit i pří zkoumání první kategorie. Místo naturálního hospodářství bychom tedy dostali směnné hospodářství. Úplně uzavřené naturální hospodářství, na př. peruánský stát Inků, by nespadalo pod žádnou z těchto kategorií.

Za třetí: peněžní hospodářství je vlastní každé zbožní výrobě, a výrobek se objevuje jako zboží v nejrozmanitějších společenských výrobních organismech. Charakteristickým rysem kapitalistické výroby by pak tedy byl pouze rozsah, v němž se výrobek vyrábí jako zboží, jako předmět obchodu, tedy také rozsah, v němž musí prvky tvořící tento výrobek vejít znovu jako předměty obchodu, jako zboží, do hospodářství, z něhož výrobek vyšel.

Ve skutečnosti je kapitalistická výroba zbožní výrobou, která se stala všeobecnou formou výroby; ale je jí a stává se jí ve svém vývoji stále více jen proto, že práce sama se tu jeví jako zboží, protože dělník práci, t. j. funkci své pracovní síly, prodává, a to, jak máme za to, prodává za její hodnotu, určenou náklady na její reprodukci. Tou měrou, jak se práce stává námezdní prací, stává se výrobce průmyslovým kapitalistou; proto se kapitalistická výroba (tudíž i zbožní výroba) projevuje v celém svém rozsahu teprve tehdy, když je i bezprostřední zemědělský výrobce námezdním dělníkem. Ve vztahu mezi kapitalistou a námezdním dělníkem se peněžní vztah, vztah kupce a prodavače, stává vztahem, který je imanentní výrobě samé. Tento vztah však ve svém základu spočívá na společenském charakteru výroby, nikoli na způsobu styku; ten z ní naopak vyplývá. Ostatně měšťáckému obzoru, v němž všechnu pozornost pohlcuje kšeftaření, zcela odpovídá názor, že to není povaha způsobu výroby, jež je základem jí odpovídajícího způsobu styku, ale naopak.[7]

*

Kapitalista vrhá do oběhu méně hodnot v peněžní formě, než z něho bere, protože do něho vrhá více hodnot ve zbožní formě, než jich z něho ve zbožní formě vzal. Pokud funguje pouze jako zosobnění kapitálu, t. j. pokud plní funkci průmyslového kapitalisty, je jeho nabídka zbožních hodnot vždy větší než jeho poptávka po zbožních hodnotách. Kdyby se jeho nabídka a poptávka v tomto směru kryly, znamenalo by to, že se jeho kapitál nezhodnotil; kapitál by nefungoval jako produktivní kapitál, produktivní kapitál by se přeměnil ve zbožní kapitál, který není obtěžkán nadhodnotou; za výrobního procesu by z pracovní síly nezískal žádnou nadhodnotu ve zbožní formě, tedy by vůbec nefungoval jako kapitál. Kapitalista musí ve skutečnosti „prodávat dráže, než koupil“, ale to se mu podaří právě jen proto, že pomocí kapitalistického výrobního procesu přeměňuje levnější zboží — neboť obsahuje méně hodnoty — které koupil, ve zboží, obsahující větší množství hodnoty, tedy i dražší. Prodává dráže ne proto, že prodává své zboží nad jeho hodnotou, nýbrž proto, že prodává zboží vyšší hodnoty, než je suma hodnot prvků jeho výroby.

Míra, v níž kapitalista svůj kapitál zhodnocuje, je tím větší, čím větší je rozdíl mezi jeho nabídkou a jeho poptávkou, t. j. čím větší je přebytek zbožní hodnoty, kterou nabízí, nad zbožní hodnotou, po níž se ptá. Jeho cílem není, aby se nabídka a poptávka vzájemně kryly, nýbrž aby se co nejvíce nekryly, aby jeho nabídka co nejvíce přesahovala jeho poptávku.

Co platí o jednotlivém kapitalistovi, platí i o třídě kapitalistů.

Pokud kapitalista pouze zosobňuje průmyslový kapitál, tvoří jeho vlastní poptávku jen poptávka po výrobních prostředcích a pracovní síle. Jeho poptávka po Vp, zkoumaná s hlediska hodnoty v nich obsažené, je menší než kapitál, který zálohoval; kupuje výrobní prostředky menší hodnoty, než je hodnota jeho kapitálu, a tudíž ještě menší hodnoty, než je hodnota zbožního kapitálu, který dodává na trh.

Pokud jde o jeho poptávku po pracovní síle, je rozsah této poptávky co do její hodnoty určen poměrem jeho variabilního kapitálu k celému jeho kapitálu, tedy = v: K, a proto v kapitalistické výrobě roste poptávka po pracovní síle poměrně menší měrou než poptávka po výrobních prostředcích. Kapitalista se ve stále rostoucí míře stává více kupcem Vp než kupcem S.

Protože dělník mění svou mzdu převážně v životní prostředky, a to hlavně v nutné životní prostředky, je poptávka kapitalisty po pracovní síle nepřímo zároveň poptávkou po spotřebních předmětech, které vstupují do spotřeby dělnické třídy. Ale tato poptávka je rovna v, není ani o atom větší než v (šetří-li dělník ze své mzdy — všechny úvěrové vztahy tu nutně ponecháváme stranou — znamená to, že přeměňuje část své mzdy v poklad a pro tanto [v té míře] nevystupuje s poptávkou, jako kupec). Maximální hranice kapitalistovy poptávky = K = c + v, ale jeho nabídka = c + v + m; je-li tedy složení jeho zbožního kapitálu 80c + 20v + 20m, je jeho poptávka = 80c + 20v, t. j. poptávka po stránce své hodnoty o 1/5 menší než jeho nabídka. Čím větší je procentní míra masy m, kterou vyrobil (míra zisku), tím menší se stává jeho poptávka ve srovnání s jeho nabídkou. Ačkoli se poptávka kapitalisty po pracovní síle, a tedy nepřímo po nutných životních prostředcích, s pokrokem výroby ve srovnání s jeho poptávkou po výrobních prostředcích progresivně zmenšuje, nesmí se přesto na druhé straně zapomínat, že jeho poptávka po Vp je vždy menší než jeho kapitál, počítáme-li den co den. Jeho poptávka po výrobních prostředcích musí tedy být vždy co do hodnoty menší než zbožní výrobek kapitalisty, který mu tyto výrobní prostředky dodává a který pracuje se stejným kapitálem a za jinak stejných podmínek. To, že tu ve skutečnosti není jeden kapitalista, ale mnoho kapitalistů, na věci nic nemění. Dejme tomu, že jeho kapitál = 1000 librám št., konstantní část kapitálu = 800 librám št.; pak je jeho poptávka vůči všem kapitalistům = 800 librám št.; na 1000 liber št. dodávají všichni dohromady (nezáleží na tom, kolik z této sumy připadá jednotlivě na každého z nich a jakou část jeho celkového kapitálu tvoří suma, jež na každého připadá) při stejné míře zisku výrobní prostředky v hodnotě 1200 liber št.; jeho poptávka tedy kryje jen 2/3 jejich nabídky a celá jeho vlastní poptávka se co do velikosti hodnoty rovná jen 4/5 jeho vlastní nabídky.

Nyní ještě musíme předběhnout výklad a zběžně prozkoumat obrat kapitálu. Celkový kapitál daného kapitalisty budiž 5000 liber št., z nichž 4000 liber št. tvoří fixní a 1000 liber št. oběžný kapitál; podle dřívějšího předpokladu je těchto 1000 = 800c + 200v. Aby se celý jeho kapitál obrátil jednou za rok, musí se jeho oběžný kapitál obrátit za rok pětkrát; jeho zbožní výrobek je pak = 6000 librám št., je tedy o 1000 liber št. větší než kapitál, který zálohoval, což opět dává týž poměr nadhodnoty jako výše: 5000 K: 1 000m = 100(c + v) : 20m. Tento obrat nemění tedy nic na poměru celkové poptávky kapitalisty k jeho celkové nabídce; jeho celková poptávka zůstává o 1/5 menší než celková nabídka.

Dejme tomu, že se jeho fixní kapitál musí obnovovat každých 10 let. Kapitalista tedy každoročně amortisuje 1/10 = 400 librám št. Díky tomu má nyní hodnotu jen 3600 liber št. ve fixním kapitálu + 400 liber št. v penězích. Je-li zapotřebí oprav, které nepřesahují průměr, nejsou náklady na ně nic jiného než vklad kapitálu, jejž kapitalista činí teprve dodatečně. Můžeme se na věc dívat tak, jako by kapitalista při určování hodnoty kapitálu, který vkládá, pokud tato hodnota vchází do ročního zbožního výrobku, hned předem do ní započítal náklady na opravy, takže v amortisaci, jež se rovná 1/10 kapitálové hodnoty, jsou tyto náklady zahrnuty. (Je-li ve skutečnosti jeho potřeba oprav nižší než průměr, je to pro něho výhoda, je-li vyšší, je to ztráta. Pro celou třídu kapitalistů zabývajících se týmž odvětvím výroby se však tyto výhody a ztráty vyrovnávají.) V každém případě, ačkoli jeho roční poptávka při jednom obratu jeho celkového kapitálu za rok zůstává = 5000 librám št., t. j. rovná se jeho původně zálohované kapitálové hodnotě, stoupá přesto tato poptávka vzhledem k oběžné části kapitálu, kdežto vzhledem k fixní části kapitálu se ustavičně zmenšuje.

Přejděme nyní k reprodukci. Dejme tomu, že kapitalista osobně spotřebuje celou nadhodnotu p a přemění znovu v produktivní kapitál jen tak velký kapitál, jako je původní kapitál K. Pak je kapitalistova poptávka co do hodnoty rovna jeho nabídce. Ale ne pokud jde o pohyb jeho kapitálu; jeho poptávka jako kapitalisty činí jen 4/5 jeho nabídky (co do velikosti hodnoty); 1/5 spotřebovává jako nekapitalista, nikoli ve své funkci kapitalisty, nýbrž pro své osobní potřeby nebo požitky.

Jeho účet je v procentech takový:

Jeho poptávka jako kapitalisty = 120, nabídka = 120.
Jeho poptávka jako požitkáře = 20, nabídka = —.
____________________________________________
Součet poptávky = 120, nabídky = 120.

Tento předpoklad se rovná předpokladu, že kapitalistická výroba neexistuje, že tedy neexistuje ani sám průmyslový kapitalista. Předpoklad, že hybným motivem je osobní spotřeba, a ne samo obohacení, boří přímo základ kapitalismu.

Je však kromě toho i technicky nemožný. Kapitalista musí nejen tvořit reservní kapitál, aby se zabezpečil před kolísáním cen a aby mohl vyčkat nejpříznivějších konjunktur pro koupi a prodej; musí akumulovat kapitál, aby tak mohl rozšiřovat výrobu a zavést do svého výrobního organismu technická zdokonalení.

Aby mohl akumulovat kapitál, musí nejdříve brát z oběhu určitou část nadhodnoty v peněžní formě, která k němu přitéká z oběhu, a rozmnožovat ji jako poklad, dokud nenabude rozsahu nutného k rozšíření starého podniku nebo otevření nového podniku vedle starého. Dokud trvá tvoření pokladu, nezvětšuje kapitalistovu poptávku; peníze jsou nehybné; neodnímají zbožnímu trhu žádný ekvivalent v podobě zboží za peněžní ekvivalent, který byl z trhu odebrán za zboží přinesené na trh.

Úvěr tu ponecháváme stranou; a do oblasti úvěru patří na př. případ, kdy kapitalista ukládá peníze v té míře, jak se hromadí, na úroky na běžný účet do banky.

__________________________________

Poznámky:

7 Až potud rukopis V. To, co následuje až do konce kapitoly, je poznámka, která je v sešitě z roku 1877 nebo 1878 mezi výpisky z knih.